Классификация, количественные определения минеральных удобрений
Х%= 100 m1 / m Где m – масса пробы, m1 – масса фракции
За результат принимают целое число —среднее арифметическое 2 параллельных определений с расхождением не более 1%.
Методы определения статистической прочности гранул
Основан на определении предельной силы, необходимой для разрушения гранул испытательной фракции при сжатии между 2 параллельными плоскостями с площадью каждой 1 см2. На приборе для рассева выделяют фракцию гранул с d = 2-3 мм или фракцию, размер которой задан в стандарте на конкретное удобрение. Погрешность определений размера гранул +- 0,1 мм. Производится по ГОСТ 21560.2 -02 и распространяется на гранулированные минеральные удобрения.
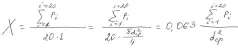
Ход работы: Отбирают пинцетом 20 гранул, примерно сферической формы, и помещают в плотнозакрытый бюкс, чтобы не было изменений влажности. Все гранулы последовательно разрушают на приборе и по шкале замеряется сила (в кПа). Вычисляют статистическую прочность Х:
Где Р! —сила, для разрушения 1 гранулы. S—поперечное сечение гранулы. dср—средний диаметр гранулы
В практических условиях находит применение следующая условная градация слеживаемости удобрений:
I Слегка слеживается До 98,1
II Слабо слеживается 98,1—196,2
III Несколько слеживается 196,2—392,4
IV Слеживается в средней степени 392,4—686,7
V Значительно слеживается 686,7—981
VI Сильно слеживается 981—1471,5
VII Очень сильно слеживается >1471,5
Для результата в кгс/см2 результат по формуле умножается на 10,2 и округляют до целых.
Методы определения динамической прочности и истираемости
Метод основан на определении доли неразрушенных гранул после воздействия на них ударных нагрузок и сил трения во вращающемся барабане с шариками. Производится по ГОСТу 21560.3-02 и распространяется на гранулированные, кристаллические, зернистые минеральные удобрения .
Ход работы: Пробу с массой 200-250 кг помещают в прибор для определения гранулометрического состава и отсеивают фракцию с частицами d<1 мм. Пробу, оставшуюся после отсева, взвешивают с погрешностью не более 0,1 г и помещают в барабан прибора вместе со стальными шариками c d=5 мм и массой, равной массе пробы, затем испытывают 10 мин. Извлекают шарики из барабана магнитом, повторно отсеивают пылевидную фракцию и взвешивают пробу, оставшуюся на ситах с погрешностью не более 0,1 г. Динамическую прочность и истираемость Х в % вычисляют:
Х%= 100 m1 / m
где м—масса пробы после первого отсева, м1—масса пробы после повторного отсева
За результат принимают среднее арифметическое 2 параллельных измерений, округляя до целых чисел. Расхождение не должно превышать 5 %.
Методы определения рассыпчатости
Этот метод распространяется на гранулированные, кристаллические, зернистые минеральные удобрения и производится по ГОСТ 21560.5—02. Метод основан на определении массы удобрения, оставшегося на сите после предварительного однократного сбрасывания его в мешке с высоты в 1 м на плоскую твёрдую поверхность и последующего рассева. По рассыпчатости минеральные удобрения различают:
-свободно-сыпучие—не содержат никаких комков, свободно стекают по наклонной плоскости
-незатвердевшие сыпучие удобрения — вследствие влияния давления и (или) влаги не затвердевают и свободно рассыпаются в руке.
-затвердевшие —неудовлетворительное по ГОСТу 21560.5-02 качество.
Ход работы: Удобрение, упакованное в мешок, взвешивают и сбрасыают плашмя в условиях свободного полета с высоты в 1 м на плоскую твердую поверхность. Затем мешок переносят на сито, разрезают и освобождают от тары удобрение и производят рассев, который проводят вручную качанием сита в горизонтальной плоскости без встряхивания с частотой 50+-10 колебаний/мин в течение 1,5 мин (можно делать на соответствующем приборе). Рассыпчатость Х в % вычисляют так:
Где m—масса удобрения в мешке до рассева, кг. m1—масса остатков удобрения на сите, кг. п—число мешков
За результат принимают среднее арифметическое 2 параллельных измерений и округляют до целых чисел.
Методы определения гигроскопичности
Гигроскопичность характеризует способность веществ поглощать влагу из воздуха. При большой гигроскопичности удобрения сильно слеживаются, ухудшается их сыпучесть и рассеваемость, гранулы теряют свою прочность. Распространенная ее оценка — определение гигроскопической точки, которая выражается в %. Для водорастворимых солей гигроскопические точки (h) определяются отношением парциального давления паров воды над насыщенным раствором соли (Ра) при данной температуре к давлению паров воды в момент насыщения ими воздуха (Р) при той же температуре:
h = Pa / P
Гигроскопическая точка соответствует относительной влажности воздуха (ha), при которой вещество не поглощает и не теряет влагу (равновесная относительная влажность). Следовательно, вещество поглощает влагу из воздуха, если ha>h и наоборот, вещество подсыхает, если h>ha. Скорость поглощения влаги удобрениями
Q = K (ha — h)
где Q — масса влаги, поглощенной единицей поверхности вещества в единицу времени; К — коэффициент скорости поглощения влаги, выраженный в кг/(м2·ч) на один процент разности (ha — h).
Гигроскопическую точку, выражающую отношение давления водяных паров над насыщенным раствором вещества к давлению паров воды в окружающем воздухе находят (по Н. Е. Пестову) статическим эксикаторным методом. Однако определяемая этим методом гигроскопическая точка зависит от влажности продукта и не характеризует скорости поглощения влаги веществом. При пропускании воздуха (азота) с определенной относительной влажностью (φотн) над сухим образцом наступает момент, когда в результате поглощения влаги на поверхности частиц образца образуется пленка насыщенного раствора. Влажность образца в этот момент названа критической (максимальной) влажностью (Wm). Влажность воздуха, соответствующая критической влажности названа критической гигроскопической точкой (φкр), исходя из которых выведена балльная шкала:
|
Баллы |
Гигроскопические точки, % |
Качественная оценка гигроскопичности |
|
10-9 9-8 8-7 7-6 6-5 5-4 4-3 3-2 2-1 1-0 |
40-45 и менее 45-50 50-55 55-60 60-65 65-70 70-75 75-80 80-85 85-90 и более |
Очень сильно гигроскопичны « Сильно гигроскопичны « Гигроскопичны « Несколько гигроскопичны Слабо гигроскопичны Почти не гигроскопичны Практически не гигроскопичны |
Методы химического контроля
Схема качественного определения ионного состава минеральных удобрений (по О.С. Безугловой с дополнениями Петербургского).
