Масс-спектрометрия
Способы разделения ионов.
Как способов ионизации, так и способов пространственного разделения ионов существует достаточно много.
На рис. 1 приведена схема, иллюстрирующая принцип работы так называемого магнитного масс-спектрометра, в котором ионы разделяются под действием магнитного поля, с ионизацией посредством электронного удара.
Масс-спектрометр требует создания в нем очень чистого вакуума. Давление остаточного газа в приборе обычно составляет около 10-7 – 10-10 мм рт.ст. Нейтральные молекулы исследуемого газа поступают в область камеры ионизации, где подвергаются столкновению с ионизирующими электронами. При этом часть молекул (около 0,1%) превращается в ионы по схемам, приведенным выше. Электрическое поле, образованное ускоряющей разностью потенциалов Uуск, сообщает ионам кинетическую энергию. Используя закон сохранения энергии, получим
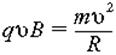
На ион, влетающий со скоростью υ в масс-анализатор, действует сила Лоренца:
Fл = qυB
В данном случае вектор магнитной индукции направлен на нас (значок
), а угол a между B и υ равен 900.
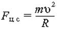
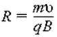
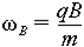
В то же время Fл является по своему характеру центростремительной силой:
и, следовательно,
В результате ион с массой m и зарядом z будет двигаться в магнитном поле по дуге окружности радиуса R, определяемого из соотношения
или
Таким образом, изменяя либо Uуск , либо B, можно заставлять двигаться по окружности радиуса Rд , на линии которой находится щель входа в детектор, ионы той или другой массы или величины заряда. Записывая зависимость ионного тока от m / z, получают набор пиков, называемый масс-спектром.
Некоторые другие способы разделения ионов по массе.
Комбинированное высокочастотное (несколько мегагерц) переменное и постоянное электрическое напряжение вида U = V + U0 cos ωt, подаваемое на систему четырех электродов (рис. 2), вынуждает ионы совершать колебательное движение в такт с частотой ω этого поля. При определенных величинах U0 , V и ω во выходную щель масс-анализатора будут проходить только ионы с определенной массой m, отвечающей условию:
m = aU0 / ω2,
где а – некоторая постоянная прибора. Все ионы с отличными массами будут двигаться с нарастающими амплитудами колебаний, что приводит к их нейтрализации на стенках электродов. Путем изменения амплитуды высокочастотного напряжения U0 или его частоты ω масс-анализатор настраивают на регистрацию ионов той или иной требуемой массы. Так работают квадрупольные масс-анализаторы. Они гораздо компактнее магнитных и обладают довольно высокой чувствительностью.
Еще один способ разделить ионы по массам – создать кратковременный импульс постоянного электрического поля (рис. 3). Приобретая скорость
ионы долетают до коллектора за время
где L – длина анализатора. Таким об разом, из-за различия в массах ионы приобретают различные скорости, обратно пропорциональные
. Образуется ионный "пакет", в голове которого летят легкие ионы, тогда как тяжелые его замыкают, и, следовательно, ионы достигают коллектора в разные моменты времени. В этом состоит принцип разделения ионов по массам во времяпролетном масс-спектрометре, главными преимуществами которого являются практически неограниченный диапазон масс и очень быстрое время регистрации масс-спектра порядка 10- 3 с.
В масс-спектрометрах ион-циклотронного резонанса ион движется под действием сразу двух полей: сильного постоянного магнитного и переменного электрического (рис. 4). Под действием магнитного поля ион движется по окружности с циклической частотой
определяемой массой иона и магнитной индукцией. Электрическое поле изменяется с циклической частотой wЕ по закону
E = E0 сos ωEt
При равенстве частот ωЕ и ωВ (напомним, что последняя зависит от массы иона) наступает резонанс, проявляющийся в заметном поглощении энергии электрического поля. Такой масс-спектрометр черезвычайно компактен
(ячейка некоторых разновидностей не превышает размера кусочка сахара), имеет очень высокие чувствительность, разрешающую способность и диапазон масс. Интересно отметить, что ионы в ячейке могут удерживаться на своих круговых орбитах по нескольку десятков часов. Отрицательные ионы, которые также могут образовываться в процессе ионизации, вращаются в ячейке в противоположном направлении и также будут регистрироваться в масс-спектре при частоте электрического поля, соответствующей их массе.
Виды регистрирующих устройств.
Третья обязательная деталь масс-спектрометра – регистрирующее устройство, с помощью которого можно определить количество ионов с данным m / z. Это могут быть фотопластина (масс-спектрограф), электрометр или электронный умножитель (масс-спектрометр). В современном приборе регистрирующее устройство непосредственно связано с компьютером, который производит обработку результатов и управляет экспериментом.
Частицы с различными m / z по-разному отклонятся в магнитном поле и окажутся в разных точках детектора. Если детектор – фотопластина, мы получим на фотографии масс-спектр пучка ионов. В большинстве масс-спектрометров используют другой прием: радиус r оставляют постоянным, а сканирование по массам производят изменяя B. Фокусирующее действие сек
торного магнитного поля проиллюстрировано на рис. 5. Как видно из рис. 5, фокусировка осуществляется по углу, то есть ионы, имеющие одинаковое значение m / z, но входящие под разными углами в магнитное поле, после прохождения этого поля снова собираются в одну точку. На практике происходит некоторое уширение изображения, и последнее получило название "сферическая аберрация". Хроматическая аберрация связана с разбросом ионов по энергии. Приборы, в которых осуществляется фокусировка ионов как по углу, так и по энергии (скорости), называются приборами с двойной фокусировкой. Эти приборы по техническим характеристикам существенно превосходят приборы с одной фокусировкой. Основными характеристиками масс-спектрометров являются диапазон измеряемых масс и разрешающая способность (разрешение). Разрешающая способность 1000 означает, что сигналы, отвечающие m / z, равные 1000 и 1001, будут фиксироваться отдельно на регистрирующем устройстве, и их перекрывание не будет превышать 10% от полусуммы их интенсивностей (уровень фона). В некоторых случаях разрешение указывается для 50% уровня фона. В наиболее распространенных и относительно дешевых статических приборах диапазон измеряемых масс лежит в интервале 500-1500 атомных единиц массы, а разрешение – в интервале 200-800.
