Методы контроля и анализа веществ (химические методы)
где Е и Е1/2 — потенциал в любой точке полярографической волны и на половине ее высоты, соответственно;
п — число электронов, участвующих в электрохимической реакции;
и
— предельный диффузионный ток и ток для выбранного значения напряжения Е.
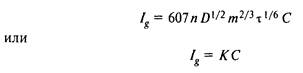
Полярограмма содержит ценную аналитическую информацию:;потенциал полуволны Е1/2 является качественной характеристикой деполяризатора, в то время как предельный диффузионный ток линейно связан с концентрацией его в объеме раствора. Эта зависимость при использовании ртутного капающего микроэлектрода выражается уравнением Ильковича:
где D — коэффициент диффузии деполяризатора, см2/с; т —.масса ртути, вытекающей из капилляра за секунду, г/с; т — время жизни ртутной капли, с; С — объемная концентрация деполяризатора, моль/л. Для твердого микроэлектрода в отсутствие принудительно перемешивания раствора уравнение концентрационной зависимости тока принимает вид:
,
где S — площадь микроэлектрода, см2;
S — толщина диффузионного слоя, см.
Если в растворе присутствует несколько электрохимически активных соединений, на полярограмме наблюдается соответствующее число волн (рис. 5.2). Потенциалы полуволн и значения предельных диффузионных токов, зарегистрированных на такой полярограмме, совпадают с аналогичными величинами, полученными для растворов индивидуальных соединений такой же концентрации.
Рис. 5.2 Полярограмма раствора содержащего ионы Cd2+, Zn2+, Ni2+, Со2+ на фоне 1М раствора KCl (1): полярограмма фона (2).
Полярограммы могут быть искажены за счет полярографических максимумов — резкого возрастания тока выше его предельного значения с последующим спадом. Причины возникновения максимумов различны, и могут быть связаны с неравномерной поляризацией ртутной капли и тангенциальным движением ее поверхности, что приводит к дополнительному перемешиванию раствора. Такого рода максимумы можно устранить введением в полярографический раствор ПАВ: красителей (метиловый красный, фуксин и др.), высокомолекулярных соединений (агар-агар, желатин).
6. (4,10-11) Рассчитайте потенциал медного электрода, опущенного в 0,2 н раствор CuCl (н.у.)
Решение:
Стандартный потенциал пары Cu+/Cu равен 0,531 В. Можно пренебречь тем, что при нормальных условиях это значение изменится (так как это изменение будет не значительное).
Медный электрод, опущенный в раствор соли меди, является электродом первого рода, его потенциал зависит от природы потенциалопределяющей пары и концентрации катиона Сu+ (окисленной формы):
0,058
7. (5,10,11) Оптическая плотность 0,1 н раствора Cr3+ составляла А = 2,87. Измеренная в адекватных условиях оптическая плотность исследуемого раствора равнялась А = 4,25. Какова концентрация исследуемого раствора?
Решение:
, где
молярный коэффициент поглощения;
– толщина светопоглощающего слоя;
– концентрация раствора.
Так как измерения проводились в адекватных условиях то можно записать
;
и
; тогда
8. (7,10) Сущность атомно-эмисссионного оптического спектрального анализа. Области его применения
Ответ:
Метод атомно-эмиссионной спектроскопии (АЭС) основан на термическом возбуждении свободных атомов или одноатомных ионов и регистрации оптического спектра испускания возбужденных атомов (рис. 8.1)
Рис. 8.1 Схема процесса лежащая в основе метода атомно-эмиссионной спектроскопии
Аналитическим сигналом в АЭС служит интенсивность испускаемого излучения
. Поскольку возбуждение атомов имеет термическую природу, возбужденные и невозбужденные атомы находятся между собой в термодинамическом равновесии, положение которого описывается законом распределения Больцмана:
где N0 – число невозбужденных атомов;
g* и g0 – статистические веса возбужденного и невозбужденного состояния;
Е – энергия возбуждения;
к – постоянная Больцмана;
Т – абсолютная температура.
Таким образом, при постоянной температуре число возбужденных частиц N* прямо пропорционально числу невозбужденных частиц N0, т. е. фактически общему числу данных атомов N в атомизаторе (поскольку в реальных условиях атомно-эмиссионного анализа доля возбужденных частиц очень мала: N* << N0).
В свою очередь (при заданных условиях атомизации, определяемых конструкцией и режимом работы прибора и рядом других факторов), число атомов (N) в атомизаторе пропорционально концентрации определяемого элемента в пробе с.
Таким образом, можно было бы ожидать, что между интенсивностью испускаемого излучения
и концентрацией определяемого элемента с наблюдается прямо пропорциональная зависимость. Однако на практике условия, обеспечивающие эту зависимость, выполняются далеко не всегда. В общем случае зависимость интенсивности излучения от концентрации нелинейная и может быть описана эмпирическим уравнением
Это уравнение называется уравнением Ломакина-Шайбе. Оно является основным количественным соотношением атомно-эмиссионного анализа.
Коэффициент а в этом уравнении является сугубо эмпирической величиной, зависящей от условий процесса. Поэтому в АЭС решающее значение имеет правильный выбор условий атомизации и измерения аналитического сигнала, включая градуировку по образцам сравнения.
Области применения атомно-эмиссионный метода анализа
Качественный анализ. Атомно-эмиссионный метод позволяет одновременно зарегистрировать множество линий испускания. Поэтому АЭС является многоэлементным методом анализа. Это важнейшее достоинство метода позволяет успешно использовать его для идентификации элементов, содержащихся в пробе, для качественного анализа.
Из традиционных источников атомизации наиболее подходящим для качественного анализа является дуговой разряд. С одной стороны, температура дуги достаточна для атомизации и возбуждения большинства элементов. С другой стороны, поскольку температура дуги ниже, чем, например, искры или ИСП, то дуговые спектры существенно беднее линиями, что облегчает идентификацию. Основной недостаток дугового разряда – низкая стабильность – применительно к качественному анализу не играет существенной роли, поскольку для идентификации используют положение (длину волны) линии в спектре, а не ее интенсивность.
