Методы отделения и выделения следов элементов
Иногда при осаждении следов вещества носителем происходит образование соединения. Так, например, гидроокись железа легко осаждает мышьяк и фосфор в виде малорастворимых арсенита, арсената и фосфата железа. Осаждение микроэлемента может быть более полным, чем это следует из растворимости образовавшихся соединений, благодаря тому, например, что происходит сильная адсорбция арсената железа гидроокисью железа. Другой случай образования соединения при осаждении встречается при использовании теллура в качестве носителя для золота, платины и палладия. Эти металлы количественно осаждаются, когда к раствору их солей, содержащему небольшое количество теллурита щелочного металла, добавляют такие восстановители, как сернистую кислоту или хлорид олова. Вероятно, благородные металлы образуют теллуриды при этих условиях и осаждаются в таком виде с восстановленным теллуром. Однако осаждение этих металлов было бы, несомненно, не менее полным, если бы никакого образования соединения не происходило и восстановленные металлы действовали бы просто как кристаллизационные центры для элементарного теллура.
Выбор носителя предопределяется рядом факторов, главным из которых, естественно, является способность носителя осаждать следы вещества достаточно полно. Хорошим носителем считается тот, который при использовании даже в малом количестве полностью захватывает следы определяемого элемента. Ограничение количества носителя часто имеет значение, так как с ним в большей или меньшей степени могут соосаждаться другие вещества, присутствующие в растворе, что приводит к осложнениям при определении искомого вещества. Эффективный носитель можно использовать в минимальных количествах и таким образом уменьшить соосаждение нежелательных компонентов до количества, не представляющего опасности. Предпочтение, конечно, отдается носителю, избирательному в своем действии, но это случай скорее идеальный: в действительности полностью избирательный носитель почти не встречается. В этом отношении удовлетворительны носители, механизм действия которых связан с образованием смешанных кристаллов. Носитель должен быть веществом, которое не мешает конечному определению микрокомпонента. Если это условие не выполнимо, носитель должен быть легколетучим, чтобы его можно было удалить после проведения соосаждения. В этом отношении удобны сульфиды ртути и мышьяка, применяемые для осаждения сульфидов тяжелых металлов; то же самое справедливо для теллура, который используют для выделения благородных металлов.
Если носитель образует смешанные кристаллы с соответствующим соединением микрокомпонента, можно достичь фактически полного осаждения последнего даже в том случае, когда это соединение микрокомпонента само по себе совсем не осаждается из раствора. Процесс настолько важен для выделения следов веществ, что здесь необходимо его кратко рассмотреть.
Образование смешанных кристаллов. Пусть М и N соответственно макро- и микрокомпоненты, образующие малорастворимые смешанные кристаллы X. Рассмотрим раствор М и N, который обрабатывается избытком X.
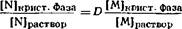
Если процесс осаждения или кристаллизации протекает так, что микрокомпонент гомогенно распределяется в кристаллической фазе макрокомпонента, т.е. если кристаллическая фаза в целом находится в равновесии с раствором, то в идеальном случае имеет силу следующее соотношение:
Коэффициент гомогенного распределения D в идеальном случае равен отношению произведений растворимости:
Чем выше значение D, тем больше доля микрокомпонента N в кристаллической фазе. Это означает, что желательно иметь именно MX более растворимым, чем NX. Однако растворимость MX примерно равнялось 100. Распределение компонентов, описываемое уравнением, соблюдается, если осадок образуется быстро и если затем осадок оставляется в маточном растворе на перекристаллизацию для получения более или менее гомогенного распределения N по MX.
Если во время осаждения равновесие устанавливается между"раствором и бесконечно тонким поверхностным слоем кристалла, то справедливо соотношение
где Я, – коэффициент логарифмического распределения. Это выражение описывает гетерогенное распределение NX по MX. Показано, что уравнение хорошо применимо для соосаждения хромата радия с хроматом бария, образующимся путем медленного осаждения, вызываемого постепенной нейтрализацией раствора азотной кислоты мочевиной или цианатом. Константа распределения для поверхностного слоя при гетерогенном осаждении должна представлять коэффициент D уравнения.
Процесс осаждения, описываемый уравнением, предпочтительнее для осаждения следов веществ по сравнению с процессом, представленным уравнением. На практике обычно оказывается, что распределение микрокомпонента не подчиняется ни одному из двух краевых уравнений, а находится где-то между ними.
Применение вышеизложенных принципов к системе сульфат свинца – сульфат стронция приводит к выводу, что следы свинца можно выделить соосаждением с сульфатом стронция. Оба эти сульфата изоморфны и образуют смешанные кристаллы. Вычислим значение D из отношения произведений растворимости при 18°:
Предположим, что при добавлении сульфата осаждается только 50% стронция, содержащегося в растворе. Если осаждение подчиняется закону гомогенного распределения, то отношение концентрации свинца в сульфате стронция к концентрации свинца, оставшегося в растворе, будет:
т.е. извлечение свинца составит 96%. Опыт подтвердил порядок этой величины. Хан показал, что при осаждении из раствора 50% стронция в осадке находится примерно 99% общего количества свинца, первоначально присутствовавшего в растворе. Поскольку осадить 99% стронция нетрудно, можно осуществить количественно осаждение свинца.
Свинец, содержащийся в осадке сульфата стронция, можно извлечь, переводя сульфаты в карбонаты и растворяя последние в кислоте. Выделение свинца методом соосаждения с сульфатом стронция или бария обычно имеет небольшое практическое значение при колориметрическом определении следов, так как вообще выгоднее отделять следы свинца путем экстракции органическим растворителем с помощью дитизона.
Посторонние вещества могут оказывать заметное влияние на отделение следов веществ вследствие образования смешанных кристаллов. Например, хлорид оказывает вредное действие на соосаждение свинца с сульфатом стронция. Так, когда в 1 н. растворе хлорида калия осаждают 50% стронция, в осадке находят 82% свинца, а если осаждение производят в 2,5 н. растворе хлорида калия, выпадает лишь 30% свинца. Неблагоприятное действие хлоридов может быть связано с образованием комплексного хлорида свинца, который не встраивается в кристаллическую решетку сульфата стронция.
Для отделения следов металлов может найти применение явление образования аномально смешанных кристаллов. Так, например, при кристаллизации некоторых галоидных солей щелочных металлов из водного раствора происходит обогащение свинца. Когда из раствора выкристаллизовывается 18,4% хлорида калия при 0°, 98,8% свинца, содержащегося в этом растворе, концентрируется в кристаллической фазе; при этом коэффициент распределения имеет значение 57.
