Обзор и математическое моделирование суспензионной полимеризации тетрафторэтилена
Высокая прочность связи
в политетрафторэтилене (около 460,5 кДж/моль) и еще более высокая прочность этой связи в тетрафторэтилене (485,7 кДж/моль), а также высокая чистота применяемых при полимеризации мономера и среды, позволяют почти полностью исключить как передачу цепи, так и обрыв цепи за счет диспропорционирования.
В связи с нерастворимостью ПТФЭ и растущих макрорадикалов в воде, обрыв цепи в результате рекомбинации радикалов также мало вероятен, но, в принципе, возможен.
Таким образом, при минимальном количестве инициатора можно получать полимер с рекордно большой молекулярной массой (107 и более).
Скорость полимеризации убывает в следующем ряду фторолефинов:
CF2=CF2 > CF2=CHF > CF2=CH2 > CFH=CH2 > CF2=CFC1 > СF3СF=СF2
Очень высокую скорость полимеризации ТФЭ объясняют сильным уменьшением электронной плотности π-связи вследствие наличия в ТФЭ четырех расположенных симметрично отрицательных атомов фтора.
Наиболее детально изучена кинетика полимеризации ТФЭ в воде при давлении ниже атмосферного. Определены константы элементарных актов роста и обрыва цепи, а также выведено уравнение для общей скорости полимеризации под действием персульфата аммония при 40—70 °С и давлении до 101 кПа (760 мм рт. ст.).
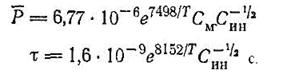
Зависимость скорости от продолжительности полимеризации характеризуется небольшим нестационарным участком, после чего она остается постоянной до значительной степени превращения мономера. На стационарном участке во всем изученном интервале температур сохраняется линейная зависимость скорости от концентрации ТФЭ. Зависимость скорости полимеризации от концентрации инициатора носит сложный характер (рис. 1). При невысокой концентрации инициатора (до максимума на кривых) наблюдается линейная зависимость v от Син. Для этих концентраций инициатора получены выражения для общей скорости полимеризации и констант роста и обрыва цепи, в л/(моль·с):
Рассчитаны средняя степень полимеризации и время жизни макрорадикалов:
Предложена также модель гетерогенной полимеризации, основанной на предположении, что обрыв цепи осуществляется за счет рекомбинации радикалов, активные концы которых сближаются за счет присоединения звеньев мономера. В режиме пост-полимеризации кинетика может быть описана с помощью одной константы роста цепи. Однако экспериментальную проверку выведенных уравнений нельзя считать завершенной, поскольку полученные значения константы роста цепи имеют большой разброс. Энергия активации роста цепи при гетерогенной полимеризации ТФЭ близка к 37— 12 кДж/моль (9—3 ккал/моль).
Полимеризация ТФЭ в воде при давлении 0,1 МПа (10 кгс/см2) и выше под действием персульфата аммония изучена недостаточно.
Рис.1. Зависимость скорости полимеризации ТФЭ от концентрации инициатора
1 – 60 °С, См = 4·10-4 моль/л;
2 – 40 °С, См = 4·10-4 моль/л;
3 – 60 °С, См = 2·10-4 моль/л;
Найдено, что в области низких концентраций инициатора (около 2·10-3 моль/л) порядок реакции по мономеру равен 3, а при высоких — изменяется от 1 до 3.
Общее кинетическое уравнения для выражения скорости реакции полимеризации ТФЭ имеет вид:
где
- концентрация мономера;
- концентрация макрорадикалов;
В случае стационарного течения полимеризации:
- скорость роста полимерной цепи.
В случае стационарного течения полимеризации:
или
V=(Кр*Ки/Ко)*[M ·]2
где
и
- индивидуальные константы роста и обрыва цепи; τ – средняя продолжительность жизни растущего радикала.
Анализ вышеприведенного уравнения приводит к соотношению:
где
- это соотношение, называемое кинетической длиной цепи;
- скорость роста и обрыва полимерной цепи;
Это соотношение можно написать в виде
Предельная температура полимеризации
![]()
1)
прекращение процесса полимеризации;
2)
- процесс деполимеризации, где
- предельная температура.
Изучение полимеризации ТФЭ в растворе CHF2Cl, CF2Cl2, CF2ClCFCl2 под действием γ-излучения в интервале температур от -30 до 10°С выявило следующие закономерности. CF2ClCFCl2 и CF2Cl2 оказывают сенсибилизирующее действие в образовании свободных радикалов и увеличивают скорость полимеризации по сравнению с полимеризацией в массе. CHF2Cl оказывает обратное влияние. Константу скорости роста цепи можно рассчитать из выражения kp = 3,6·1010 е -5887/T.
Высокая скорость полимеризации объясняется большим значением kp и необычайно низкой константой обрыва цепи путем бимолекулярной рекомбинации растущих полимерных радикалов [18 л/(моль·с) при 0 °С в CF2ClCFCl2], что на 6 порядков меньше соответствующих констант для стирола, метилметакрилата, винилхлорида.
Ниже приведены энергии активации и константы скорости реакций макрорадикалов CF2 с различными растворителями (в формуле растворителя слева показан атом, реагирующий с макрорадикалом):
Е, кДж/моль(ккал/моль) л/(моль-с)
Н—CF2Cl 45,6(10,9) 1,0
Cl—CHF2 23,9(5,7) 1,4- 104
F—CHFCl 19,7(4,7) 9,0- 104
Cl—CFClCF2Cl 87,5(20,9) 1,0
F—CFClCFCl2 61,1(14,6) 4,2·108
F—CCl2CF2Cl 18,0(4,3) 1,2·1013
Cl—CF2Cl 28,9(6,9) 1,0
F—CFCl2 26,8(6,4) 2,5
Кинетика эмульсионной полимеризации ТФЭ также мало изучена. Под действием γ-облучения полимеризация протекает со скоростью, пропорциональной мощности дозы в степени 0,8. Молекулярная масса образующегося при этом полимера уменьшается с увеличением концентрации эмульгатора. Фотополимеризация под действием света с длиной волны 253,7 нм в присутствии перекиси водорода, перфтороктаноата аммония, при 20 °С и давлении 1,1 МПа (11 кгс/см2) протекает с индукционным периодом примерно 3 мин. Скорость полимеризации пропорциональна концентрации перекиси водорода в степени 0,61, что свидетельствует о преобладающем влиянии бимолекулярного обрыва растущих полимерных цепей. Степень полимеризации практически не зависит от концентрации перекиси (в области 2-10-3— 10-2 моль/л). В области концентрации перфтороктаноата аммония 0,5—1,6% (масс.) скорость полимеризации резко увеличивается, возрастает также и степень полимеризации. Выше критической концентрации мицеллообразования (0,68%) скорость полимеризации пропорциональна концентрации эмульгатора в степени 0,71, а степень полимеризации— в степени 0,7. Соотношение между скоростью полимеризации или степенью полимеризации и концентрацией эмульгатора при фотосенсибилизированной перекисью водорода полимеризации практически совпадает с таковым при химическом инициировании и отличается от него при радиационной эмульсионной полимеризации.
