Окисление парафиновых углеводородов
В условиях окисления гидроперекиси могут расходоваться не только при взаимодействии со свободными радикалами и по реакции разветвления, обычно протекающей медленно, но и другими путями, которые для общности называют не цепным расходованием. В некоторых реакциях окисления такой не цепной путь распада оказывается доминирующим. Так, при окислении альдегидов образующаяся над кислота реагирует с исходным альдегидом с образованием кислоты.
В присутствии кислот гидроперекиси подвергаются гетеролитическому расщеплению, что приводит к автоторможению в реакции окисления.
Работами Н.М.Эмануэля [3] показано, что ряд реакций окисления углеводородов прекращаются задолго до полного израсходования исходного вещества.
Вопросы автоторможения реакций окисления подробно изучены Е.Т.Денисовым [40]. Было показано, что в начальный период окисление углеводорода осуществляется за счет взаимодействия RH с перекисными радикалами:
И скорость реакции определяется концентрацией перекисных радикалов. По мере накопления продуктов окисления - гидроперекисей, спиртов, кетонов, кислот - перекисные радикалы вступают в реакцию взаимодействия с этими продуктами.
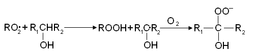
При цепном распаде вторичной гидроперекиси радикал R02• заменяется на свободный гидроксил: Реакция RO2• со спиртом приводит к образованию оксигидроперекисного радикала: Реакция с кислотами приводит к выделению СО2 и другому R1O2• радикалу:
Реакция RO2• со спиртом приводит к образованию оксигидроперекисного радикала:
Реакции с кислотами приводит к выделению СО2 и другому R1O2• радикалу:
В развившейся реакции исходный углеводород может взаимодействовать с различными свободными радикалами, и скорость его окисления зависит не только от общей концентрации радикалов, но и от их состава. В реальных процессах окисления скорость реакции по ходу изменяется не только в зависимости от скорости вырожденного разветвления цепей , но и в зависимости от состава радикалов.
Специальными исследованиями и кинетическими расчетами было установлена [38], что в сложных цепных реакциях, протекающих с образованием молекулярных промежуточных продуктов, состав радикалов неизбежно меняется в ходе реакции вследствие изменения состава продуктов. Изменяющийся состав радикалов воздействует не только на суммарную активность радикалов, но и на их общую концентрацию путем изменения скорости квадратного обрыва цепей. Таким образом, механизм воздействия состава радикалов на скорость сложной цепной реакции таков, что ускорения реакции всегда ограничено, а её замедления может быть сколь угодно сильным. Это обстоятельство и является фундаментальной причиной широко распространенного явления самоторможения реакций окисления.
Продукты распада радикала R02 были обнаружены при жидкофазном окислении н. бутана, изопропилбензола и циклогексана в металлических реакторах.
Интересным представляется наблюдение [3]. О том, что в металлических реакторах продукты, образующейся с разрывом углеродного скелета в случае окисления бутана, составляют около 10-12% от прореагировавшего бутана, тогда как при окислении н. декане было обнаружено ни карбонильных соединений, ни спиртов, содержащих в своей молекуле меньшее число атомов углерода, чем исходный декан.
Это на первый взгляд кажется удивительным, поскольку оба углеводорода принадлежат к одному и тому же классу- к парафинам нормального строения. В действительности никакого различия механизмом окисления н. декана и н. бутана не существует, а наблюдаемое расхождение в составе продуктов этих реакций объясняется, влиянием нержавеющей стали на распад радикала R-2 при проведении процесса в металлических реакторах.
Под влиянием металла происходит также уменьшения периода индукции и увеличение суммарной скорости окисления, определяемой по скорости расходования бутана. При этом скорости накопления продуктов распада увеличиваются в несколько раз больше, чем скорости накопления продуктов гидроперекисного направления. Ускорение реакции связано, по-видимому, с увеличением скорости разветвления цепи за счет увеличения скорости распада гидроперекиси под действием металлической поверхности.
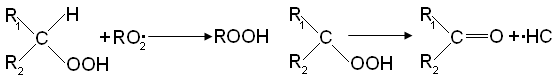
Реакция распада радикала RO2• предшествует его изомеризация с переходом свободной валентности от атома кислорода к одному из соседних атомов в радикале. Изомеризация перекисного радикала происходит наиболее легко в случае, когда в третичные атомы углерода находятся в β - положении относительно друг - друга.
При этом если свободная валентность, переходить к атому углерода, то вслед за изомеризацией радикала происходит разрыв связи С-С. Состав продуктов окисления сжиженного бутана при температуре 145°С и давлении 50 атм. В реакторе из нержавеющей стали отличается от состава продуктов окисления н. бутана в стеклянном реакторе. Наряду с соединениями, образующимися из гидроперекиси (метил этил кетон, вторичный бутиловый спирт, уксусная кислота), обнаруживается существенным количества веществ, содержащих меньшее число атомов углерода, чем исходный бутан (ацетальдегид, ацетон, метиловый и этиловый спирт и другие). Показано, что эти соединения не является продуктами дальнейшего превращения гидроперекиси, так как при термическом разложении гидроперекиси в атмосфере азота в тех же условиях, в которых проводится процесс окисления бутана, образуются только бутиловый спирт и метил этил кетон.
Если изомеризация радикала
сопровождается переходом свободной валентности к атому водорода, а не к углеводородному атому, то распад радикала происходит с разрывом связи С – Н . так как в этом случае углеродный скелет не разрушается, то образуются продукты, практически неотличимы от соединений, получающихся в результате превращений гидроперекиси.
В реакциях окисления углеводородов гидроперекиси очень часто главные, но не единственные первичные молекулярные продукты окисления. Во многих случаях параллельно с гидроперекисями образуются циклические и полимерные перекиси, окиси и другие продукты окисления.
Таким образом, из литературы известно, что металлы, контактирующие с окисляющимся углеводородом не всегда инертны к процессу окисления.
Катализ процесса окисления солями металлов переменной валентности.
При окислении углеводородов в качестве катализаторов обычно применяют органические соли кобальта, марганца, железа, меди, хрома, свинца, никеля. Перманганат калия, например, служит катализатором окисления парафина кислородом воздуха в производстве жирных кислот [2]. Катализаторы позволяют, проводит окисления при более низкой температуре, т.е. в более мягких условиях и таким образом уменьшают количество нежелательных продуктов глубокого окисления [3].
В реакциях окисления углеводородов механизм соленого катализа очень сложный. Ускоряя реакцию окисления, катализатор испытывает обратное воздействие продуктов окисления, что приводит к протеканию процесса в несколько последовательных стадиях.
