Определение карбонильных и карбоксильных групп в целлюлозе
Фильтрат непосредственно в отсосной колбе титруют раствором перманганата калия, концентрацией 0,04 моль/дм3 до первой устойчивой розовой окраски раствора.
Медное число, г на 100 г абсолютно сухой целлюлозы, рассчитывают по формуле
где н — объем раствора перманганата калия концентрацией 0,04 моль/дм3, израсходованный на титрование, см3; 0.00254 — масса меди, соответствующая I см3 раствора перманганата калия концентрацией 0,04 моль/дм3, г; g — масса абсолютно сухой навески целлюлозы, г.
Расхождения между результатами двух параллельных определений не более 0,03 г при уровне показателя медного числа до 1,0 г и 0,2 г — свыше 1,0 г.
3. Определение альдегидных групп фотоколориметрическим
методом по Саболксу
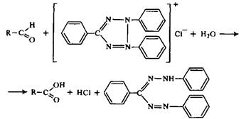
Метод основан на восстановлении альдегидными группами хлорида 2,3,5-трифенилтетразолия с образованием красного красителя формазана, который определяют фотоколориметрически.
Этот метод дает достаточно точные и хорошо воспроизводимые результаты и позволяет определять очень малые количества альдегидных групп.
Методика анализа. Навеску абсолютно сухой измельченной целлюлозы массой 0,01 г помещают в пробирку и заливают 0,5 см3 раствора гидроксида калия концентрацией 0,2 моль/дм3 и 0,5 см3 0,2%-ного водного раствора хлорида 2,3,5-трифенилтетразолия. Пробирку опускают на 10 мин в кипящую водяную баню. Затем пробирку с окрашенной целлюлозой быстро охлаждают под струей холодной воды. Массу из пробирки переносят на стеклянный пористый фильтр и отфильтровывают, применяя отсос, в мерную пробирку на 10 см3. Массу на стеклянном фильтре промывают без отсоса небольшими порциями этанола до тех пор, пока образовавшийся в ходе реакции краситель не перейдет полностью в раствор и объем жидкости в отсосной пробирке не достигнет 10 см3. Для улучшения растворения красителя массу на фильтре перемешивают стеклянной палочкой.
Интенсивность окраски полученного раствора определяют на спектрофотометре при длине волны 546 нм или на фотоэлектрическом колориметре с зеленым светофильтром в кювете толщиной 10 мм. Параллельно проводят контрольное определение без образца целлюлозы. Контрольную пробу, которая должна быть бесцветной, используют в качестве раствора сравнения.
Следует отметить, что образовавшийся краситель формазан нестоек, и поэтому все операции необходимо выполнять быстро.
Содержание альдегидных групп — CHO определяют по градуировочному графику в мг и рассчитывают их массовую долю, % к абсолютно сухой целлюлозе, по формуле
где т — масса СНО-групп в навеске, определенная по градуировочному графику, мг; g — масса абсолютно сухой навески, г.
Построение градуировочного графика. Готовят точно 0,1%-ный раствор химически чистой глюкозы. В мерную пробирку вносят микропипеткой 0,05 см3 этого раствора, добавляют 0,5 см3 раствора гидроксида калия концентрацией 0,2 моль/дм3 и 0,5 см3 0,2%-ного раствора ХТТ. Смесь в пробирке нагревают 10 мин на кипящей водяной бане, охлаждают, доливают этанолом до метки, соответствующей 10 см3, и фотоколориметрируют. Найденное значение оптической плотности соответствует 0,05 мг глюкозы или 0,007775 мг СНО-групп. Строят градуировочный график, откладывая по оси абсцисс найденную оптическую плотность 0,1%-ного раствора глюкозы, а по оси ординат — массу СНО-групп. Полученную точку соединяют с началом системы координат.
4. Определение карбонильных групп с борогидридом натрия
Щелочной раствор борогидрида натрия или калия при комнатной температуре быстро и селективно восстанавливает альдегидные и кетонные группы до спиртовых групп. В этих условиях он достаточно инертен по отношению к двойным связям, эпоксидным, сложноэфирным и карбоксильным группам. Механизм реакции заключается в присоединении гидрид-иона к карбонильному атому углерода, а атома бора к кислороду карбонильной группы с последующим гидролизом промежуточного боросодержащего комплекса. В этой реакции используются все четыре атома водорода борогидрида.
При подкислении реакционной смеси в результате разложения избытка борогидрида натрия выделяется водород
По разности объемов водорода, выделяющегося при подкислении контрольного и исследуемого растворов можно определить массовую долю карбонильных групп в исследуемой целлюлозе: 1 моль H2 соответствует 1 молю СО-групп. Для количественного определения карбонильных групп в полисахаридах Линдберг и Теандер разработали газометрический метод.
Другими исследователями предложен титриметрический метод, основанный на реакции борогидрида натрия с иодатом калия и последующим иодометрическим определением избытка иодата
По количеству иодата калия, израсходованного на реакцию, определяют количество борогидрида натрия до и после взаимодействия с целлюлозой и устанавливают в ней содержание карбонильных групп.
Достоинством борогидридного метода является возможность определения в препаратах целлюлозы малых количеств карбонильных групп. Окисленные целлюлозы восстанавливаются быстрее, чем гидролизованные и технические, однако при анализе окисленных целлюлоз этот метод недостаточно точен, так как с борогидридом реагируют не только карбонильные, но и лактонные группировки. Чтобы уменьшить ошибку, рекомендуют перед реакцией восстановления переводить карбоксильные группы в их соли. К завышенным результатам могут также привести и окислительные процессы, протекающие в целлюлозе под воздействием кислорода воздуха в щелочной среде.
Для предотвращения ошибок необходимо проводить все операции анализа при одной и той же температуре и продолжительности; строго соблюдать рН реакции, так как увеличение рН приводит к усилению побочных реакций в растворах борогидрида натрия, а уменьшение рН ускоряет распад борогидрид-иона. Установлено, что содержание карбонильных групп, определенное борогидридным методом, пропорционально медному числу Хегглунда. Для целлюлоз, окисленных периодатом натрия, борогидридный и гидроксиламиновый методы дают сравнимые результаты.
Методика определения карбонильных групп газометрическим борогидридным методом. Количественное восстановление карбонильных групп в целлюлозе или оксицеллюлозе борогидридом натрия проводят в приборе, состоящем из реакционного трехкамерного сосуда и газовой бюретки. Определение осуществляют при комнатной температуре.
Навеску массой около 0,15 г воздушно-сухой целлюлозы помещают в среднюю часть в реакционного сосуда / и добавляют3 см раствора ортоборной кислоты концентрацией 0,1 моль/дм3, туда же помещают магнитную мешалку в стеклянной оболочке. В боковую камеру А пипеткой отмеряют точно 3 см3 раствора борогидрида натрия концентрацией в растворе гидроксида натрия концентрацией 0,1 моль/дм3, в боковую камеру С заливают 1 см3 раствора серной кислоты концентрацией 2 моль/дм3. Реакционный сосуд присоединяют к газовой бюретке объемом 50 см3 с помощью трехходового крана. Кран закрывают и, наклоняя реакционный сосуд, приливают раствор NaBH4 из боковой камеры А в среднюю часть В.
