Определение карбонильных и карбоксильных групп в целлюлозе
Прибор для определения карбонильных групп газометрическим борогидридным методом:
/ — реакционный сосуд; 2 — трехходовой кран; 3 — магнитная мешалка; 4 — газовые бюретки
Реакционную смесь перемешивают магнитной мешалкой 3 в течение 3 ч. После этого избыток борогидрида натрия разлагают, приливая из боковой камеры С разбавленную серную кислоту. Мешалку останавливают и реакционный сосуд погружают в воду при комнатной температуре на 3 мин, периодически встряхивая. С помощью крана соединяют реакционный сосуд с газовой бюреткой и измеряют объем выделяющегося водорода. Аналогично, только без навески целлюлозы, проводят контрольное определение одновременно на другом идентичном приборе.
В качестве газовой бюретки вместо обычной рекомендуют применять бюретки специальной конструкции. Средняя часть такой бюретки представляет собой баллон, объем которого вместе с верхней ее частью примерно на 5 см3 меньше ожидаемого объема водорода в рабочем опыте. Нижняя прямая часть бюретки может быть узкой, с ценой деления 0,01 . 0,02 см3, что значительно повышает точность отсчета.
Бюретки заполняют водой или дибутилфталатом. Давление паров дибутилфталата при комнатной температуре ничтожно мало, и объем газа можно не корректировать. В случае же применения воды обязательно вводят поправку, учитывающую упругость водяных паров.
Массовую долю СО-групп,% к абсолютно сухой целлюлозе, рассчитывают по формуле
где W0 — приведенный к нормальным условиям объем водорода, израсходованного на восстановление СО-групп, см3; V1 — объем водорода, выделившегося в рабочем опыте, см3; V2 — объем водорода, выделившегося в контрольном опыте, см3; В — барометрическое давление, ГПа; U'' — давление паров воды при температуре /, если газ собирается над водой, ГПа; / — температура окружающей среды, 0C; 28,011 — масса 1 ммоля СО-групп, мг; 22,414 — объем 1 ммоля водорода при нормальных условиях, см3; g — масса абсолютно сухой навески целлюлозы, г.
Для определения низкого содержания карбонильных групп в целлюлозе применяют модифицированный метод. Восстановление борогидридом натрия проводится в течение 6 ч в реакционном сосуде большей вместимости и с большей массой навески целлюлозы. Увеличивается также расход и концентрация используемых для восстановления реагентов. В центральную часть В реакционного сосуда заливают 20 см3 раствора H3BO3 концентрацией 0,15 моль/дм3, в боковую камеру А 20 см3 раствора NaBH4 концентрацией 0,025 моль/дм3 в растворе NaOH концентрацией 0,1 моль/дм3, а в боковую камеру С—5 см3 раствора H2SO4 концентрацией 2 моль/дм3.
5. Определение карбоксильных групп с гидрокарбонатом натрия
по Вильсон
Метод основан на обратном титровании карбоксильных групп гидрокарбонатом натрия
Избыток гидрокарбоната натрия оттитровывают соляной кислотой
Подготовка целлюлозы к анализу. Воздушно-сухую целлюлозу предварительно обессмоливают экстрагированием органическими растворителями по обычной методике. Из обессмоленной целлюлозы приготавливают отливки и сушат на воздухе. Навеску воздушно-сухой целлюлозы в виде отливок массой около 2,5 г для обеззоливания помещают в коническую колбу вместимостью 500 см3, заливают 250 см3 раствора HCI концентрацией 0,1 моль/дм3 и хорошо взбалтывают. Массу выдерживают в течение 1 ч при комнатной температуре, затем целлюлозу отфильтровывают на воронке Бюхнера с полотняным фильтром и тщательно промывают теплой дистиллированной водой до нейтральной реакции промывных вод. Обеззоленную целлюлозу подсушивают на воздухе.
Методика анализа. Целлюлозу после обеззоливания и подсушивания взвешивают и помещают в коническую колбу вместимостью 250 см3 с притертой пробкой, заливают пипеткой 50 см3 раствора гидрокарбоната натрия концентрацией 0,01 моль/дм3 и хлорида натрия концентрацией 0,1 моль/дм3, закрывают колбу и оставляют на 1 сут, периодически встряхивая. Затем массу отфильтровывают на сухом стеклянном пористом фильтре под вакуумом в чистую сухую отсосную колбу. Пипеткой отбирают 25 см3 фильтрата, переносят в коническую колбу вместимостью 250 см3 и титруют раствором соляной кислоты концентрацией 0,1 моль/дм3 с индикатором метиловым красным. По достижении переходной окраски раствор кипятят несколько минут для удаления CO2, быстро охлаждают под струей воды и затем титруют до изменения окраски в розовую. Параллельно титруют таким же образом 25 см3 раствора гидрокарбоната.
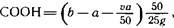
Количество карбоксильных групп СООН, ммоли на 100 г абсолютно сухой целлюлозы, рассчитывают по формуле
где а — расход раствора соляной кислоты концентрацией 0,01 моль/дм3 на титрование 25 см3 фильтрата, см3; b — то же на титрование 25 см3 раствора NaHCO3+ NaCI, см3; н — объем воды в навеске целлюлозы после обеззоливания и подсушивания, который рассчитывают по разности между массой целлюлозы после обеззоливания и подсушивания и массой абсолютно сухой целлюлозы до обеззоливания, см3; g — масса навески абсолютно сухой целлюлозы.
6. Определение карбоксильных групп фотоколориметрическим
методом по Веберу
Метод основан на связывании карбоксильными группами основного красителя — метиленового голубого с последующим вытеснением связанного красителя соляной кислотой и фотоколориметрическим определением его количества и отсасывают воду. Затем закрывают кран на фильтре и обрабатывают волокно 25 см3 раствора метиленового голубого, при этом массу на фильтре перемешивают маленькой стеклянной палочкой. По истечении 10 мин открывают кран и отсасывают раствор красителя. Обработку повторяют несколько раз до тех пор, пока оптические плотности исходного раствора и фильтрата не сравняются. Для фотоколориметрирования отбирают пипеткой 2 см3 фильтрата, переносят в мерную колбу вместимостью 250 см3 и доводят до метки раствором соляной кислоты концентрацией 0,01 моль/дм3. Затем измеряют оптическую плотность полученного раствора на спектрофотометре при длине волны 600 нм или на фотоэлектроколориметре с оранжевым фильтром в кювете толщиной 10 мм. Таким же образом измеряют оптическую плотность исходного раствора. По окончании последней обработки тщательно отсасывают раствор красителя, вынимают окрашенную целлюлозу из фильтра, взвешивают и помещают в чистый стеклянный пористый фильтр с краном. После этого для извлечения МГ окрашенную целлюлозу подвергают следующей обработке:
1. Четырехкратной промывке порциями по 25 см1 раствора соляной кислоты концентрацией 0,01 моль/дм3 с перемешиванием по 5 мин при закрытом кране; фильтрат собирают в мерную колбу вместимостью 250 см3 и доводят его объем раствором соляной кислоты концентрацией 0,01 моль/дм3 до метки.
2. Четырехкратной промывке порциями по 25 см3 раствора соляной кислоты концентрацией 0,01 моль/дм3 с перемешиванием по 10 мин; фильтрат собирают в мерную колбу вместимостью 100 см3.
