Определение степени полимеризации целлюлозы
Введение
Молекулярная масса целлюлозы является одной из важнейших ее характеристик и в значительной степени определяет как области практического использования различных препаратов целлюлозы, так и физико-механические свойства получаемых из нее волокон и пленок. Целлюлоза - линейный гомополимер с одинаковыми звеньями и связями, поэтому размер ее цепной молекулы обычно характеризуют степенью полимеризации, т.е. числом звеньев в макромолекуле. Однако целлюлоза, подобно другим полимерам, полидисперсна, т.е. состоит из молекул различной длины, поэтому значения M или СП, определенные с помощью того или иного метода, являются средними величинами. Различают среднечисленную и среднемассовую молекулярные массы.
Среднечисленная молекулярная масса Mn представляет собой среднеарифметическую величину, определяемую числовыми долями макромолекул каждого размера:
где лДл,, л2, /I3.) - число молекул с молекулярной массой Ai,.
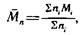
Среднемассовая молекулярная масса Mw - среднестатистическая величина, определяемая массовыми долями макромолекул каждого размера,
где Wi - массы фракций макромолекул с молекулярной массой MjiMl, M2, Ai3. .); масса каждой фракции равняется числу макромолекул в ней, умноженному на соответствующую молекулярную массу Wi = HiMi.
В практике чаще всего определяют средневязкостную молекулярную массу
где а - эмпирическая постоянная, характеризующая форму макромолекул для данной системы целлюлоза - растворитель при определенной температуре. Ее значение обычно больше 0,5 и меньше или равно 1,0.
Для полидисперсных полимеров
причем Mv ближе к Мш, чем к Mn. Отношение Mw/Mn служит характеристикой полидисперсности. Чем больше это отношение, тем больше неоднородность образца целлюлозы по молекулярной массе.
Значения СП целлюлозы изменяются в широких пределах в зависимости от происхождения образца и для природных древесных целлюлоз лежат в интервале 5000 .10000. Химическая обработка древесины - варка, отбелка - сильно снижает степень полимеризации целлюлозы. Например, СП беленой сульфитной целлюлозы находится в пределах 1200 .1800, а у соответствующей сульфатной целлюлозы 1000 .1400. Таким образом, определение средней степени полимеризации целлюлозы позволяет достаточно точно охарактеризовать ее степень деструкции при различных химических, физических и биологических воздействиях.
Влияние степени полимеризации на отдельные стадии технологического процесса получения искусственных волокон и пленок и их качество неоднозначно. Установлено, что увеличение степени полимеризации целлюлозы благоприятно сказывается на механических свойствах искусственных вискозных волокон, в частности на усталостной прочности. Однако при этом резко возрастает вязкость вискозы и затрудняется ее переработка. С увеличением степени полимеризации также понижается растворимость целлюлозы и ее производных. Поэтому при производстве целлюлозы для химической переработки степень полимеризации регулируется до оптимального значения, определяемого параметрами технологического процесса. В зависимости от области применения целлюлозы ее СП изменяется в пределах от 600 до 1500. В литературе также отмечается, что целлюлоза с СП свыше 1500 устойчива к укорочению волокон в процессе размола, а волокна целлюлозы с СП, составляющей около половины этого значения, легко укорачиваются.
1. Методы определения степени полимеризации целлюлозы
Все методы можно разделить на химические и физико-химические.
Химические методы - методы концевых групп позволяют определять среднечисленное значение молекулярной массы Mn. Однако в химии целлюлозы из-за малой точности их применяют только для качественной характеристики технических целлюлоз, например определение медного числа целлюлозы.
Физико-химические методы основаны на измерении свойств макромолекул целлюлозы в растворах. Для этого целлюлозу растворяют непосредственно в растворителях или превращают в ее производные, которые растворяются в соответствующих растворителях. В зависимости от измеряемых свойств физические методы определения молекулярной массы целлюлозы подразделяются на термодинамические, молекулярно-кинетические и оптические. Кроме того, все эти методы можно подразделить на абсолютные и косвенные.
В абсолютных методах измеряется какое-либо свойство, непосредственно связанное с молекулярной массой Mn или Mm. В косвенных методах по измеряемому свойству рассчитывают среднюю молекулярную массу с помощью константы, которую определяют по образцу целлюлозы с известной М.
Для определения молекулярной массы целлюлозы из абсолютных термодинамических методов используют определение осмотического давления, - определение скорости седиментации, а также определение интенсивности светорассеяния. Для расчета молекулярной массы по данным абсолютных методов необходимы универсальные константы и константы вещества, например плотность, которую легко определить. Наиболее информативным является метод седиментации в ультрацентрифуге. Он позволяет получить среднемассовую величину молекулярной массы Mw и дает полную характеристику молекулярно-массового распределения целлюлозы и ее гидродинамических параметров. Однако широкое применение этого метода на практике ограничено сложностью и высокой стоимостью аппаратуры и сложными расчетными операциями.
При определении степени полимеризации целлюлозы абсолютными физико-химическими методами встретились с определенными трудностями. Целлюлоза, как полярный кристаллический полимер, растворяется только в растворителях, которые, как правило, вступают с ней в химическое взаимодействие. Для определения степени полимеризации целлюлозы нашли применение различные комплексные основания и фосфорная кислота. В то же время в этих растворителях может происходить деструкция целлюлозы и, следовательно, снижение молекулярной массы.
В научных исследованиях, чтобы избежать деструкции целлюлозы в растворителе, ее превращают в тринитрат, который растворим в обычных органических растворителях - ацетоне, этилацетате. Однако и в этом случае необходимо следить, чтобы при получении нитрата целлюлозы не произошло деструкции цепей.
Важным условием при определении молекулярной массы является также то, что раствор целлюлозы должен быть истинным, т.е. диспергирование целлюлозы должно быть полное до молекул. Это возможно только лишь при очень малых концентрациях, что требует повышения точности измерения.
Кроме того, при определении молекулярной массы каким-либо методом возникают трудности, свойственные только этому методу. Например, осмометрический метод не применяется к природной целлюлозе, так как ее растворители растворяют используемые в практике полупроницаемые мембраны осмометра. Из-за длительности определения целлюлоза претерпевает значительную деструкцию. Определению молекулярной массы методом светорассеяния мешает окраска, характерная для растворов природной целлюлозы во многих растворителях. При использовании ультрацентрифуги растворители целлюлозы могут вызвать коррозию кювет, а длительность эксперимента приводит к деструкции целлюлозы.
