Определение степени полимеризации целлюлозы
По полученным экспериментальным данным вначале рассчитывают удельную вязкость с точностью до 0,001 по формуле.
Для расчета используют формулу Шульца - Блашке - см. формулу, принимая константу к'" для медно-аммиачных растворов целлюлозы, равной 0,29. Среднюю степень полимеризации рассчитывают по формуле Марка - Куна - Хаувинка, где К' для медно-аммиачных растворов целлюлозы равна 5 · 10 ~4, а показатель а=\.
Из формул и с использованием вышеуказанных констант получают для расчета средней степени полимеризации формулу
где с - концентрация целлюлозы в растворе, г/дм3.
Результаты определения выражают ближайшим целым числом, кратным 10 при СП до 600 и кратным 20 при СП свыше 600.
Расхождение между результатами двух параллельных определений не должно превышать 4% среднего арифметического значения.
5. Определение средней степени полимеризации целлюлозы по вязкости ее раствора в кадоксене
Водный раствор кадмийэтиленового комплекса, как уже отмечалось, является бесцветным и устойчивым растворителем целлюлозы. Окисление целлюлозы в кадоксене незначительно, что позволяет измерять ее вязкость обычными методами на воздухе. Однако растворение целлюлозы в кадоксене при комнатной температуре протекает медленно и неполно. Целлюлозы с высокой степенью кристалличности и полимеризации растворяются медленнее, чем с низкой. Эти особенности необходимо учитывать при растворении различных образцов целлюлозы, полученных разными методами варки и отбелки Растворяющая способность кадоксена значительно увеличивается при понижении температуры и при добавлении в раствор небольших количеств гидроксида натрия. Предварительное набухание целлюлозы в воде также способствует повышению ее растворимости в кадоксеновом растворе. Так как раствор кадаксена недостаточно светостоек, рекомендуется хранить его в темноте.
Методика анализа. Для определения степени полимеризации целлюлозы для химической переработки применяют раствор кадоксена, содержащий % кадмия и % этилендиамина. Определение вязкости осуществляют на капиллярном вискозиметре типа ВПЖ-3 с постоянной 0,03 мм2/с2. Подготовку проб целлюлозы проводят по методике, описанной в 2. Концентрацию раствора целлюлозы выбирают так, чтобы удельная вязкость раствора была в пределах 0,2 .0,8. При предполагаемой характеристической вязкости до 300 см3/г рекомендуется концентрация раствора 2 · 10_3г,/см3, при характеристической вязкости свыше 300 см3/г - 1 ■ 10"3г/см.
Массу навески воздушно-сухой целлюлозы, г, необходимую для приготовления раствора целлюлозы, рассчитывают по формуле, приведенной на с.249.
Навеску воздушно-сухой целлюлозы взвешивают и помещают в стеклянную банку с притертой пробкой. Влажность целлюлозы определяют в отдельной пробе. Из бюретки заливают в банку раствор кадоксена при температуре 0C в объеме, принятом для расчета массы навески, и помещают 9 .12 стеклянных шариков для ускорения процесса растворения. Банку закрывают пробкой, закрепляя ее двумя плоскими резиновыми кольцами, энергично встряхивают и помещают в аппарат для взбалтывания. Перемешивание осуществляют при комнатной температуре в течение 20 мин.
При приготовлении раствора сульфитной и сульфатной вискозной целлюлозы, предгидролизной сульфатной кордной целлюлозы горячего облагораживания после перемешивания в аппарате банки с раствором выдерживают в холодильнике 40 .50 мин при температуре 2 .4°С, периодически встряхивая вручную. При приготовлении раствора сульфатной предгидролизной кордной целлюлозы холодного облагораживания, сульфитной ацетатной и хлопковой банки с раствором после перемешивания в аппарате выдерживают 3 .4 ч в холодильнике при температуре 2 .4°С, также периодически встряхивая вручную.
Полноту растворения устанавливают визуально путем просмотра банки в проходящем свете. После растворения, при наличии примесей нецеллюлозного характера, раствор фильтруют через стеклянный фильтр, снова переливают в банку, закрывают пробкой и помещают в термостат с температурой °С на 40 мин. По истечении этого времени банку открывают и погружают в нее нижнюю промежуточную трубку вискозиметра почти до дна банки. На верхний конец вискозиметра надевают насадку, соединенную с водоструйным насосом, и, открывая кран насадки, засасывают раствор из банки в вискозиметр до тех пор, пока уровень раствора в верхней насадке не достигнет примерно ее половины. Кран закрывают, отделяют от вискозиметра насадку и промежуточную трубку с банкой и измеряют по секундомеру время истечения раствора между верхней и нижней' метками капилляра вискозиметра t. Таким же образом измеряют время истечения растворителя /0. По окончании испытания вискозиметр, банки и шарики промывают небольшим количеством чистого кадоксена, водой, 10 % -ной HCl и дистиллированной водой.
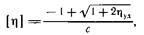
Характеристическую вязкость, см3/г, рассчитывают с точностью до 0,001 по формуле
которая получена решением уравнения Хаггинса при к" для кадоксенового раствора целлюлозы, равной 0,5. Приводя уравнение Хаггинса к виду квадратного уравнения
и решая его, получаем формулу. Поскольку в формуле корень должен иметь смысл цул>0, то знак перед корнем - 4-.
Среднюю степень полимеризации целлюлозы рассчитывают по уравнению Марка - Куна - Хаувинка, используя его логарифмическую форму - см. уравнение. Подставляя в это уравнение константы К' и а, равные для кадоксеновых растворов целлюлозы соответственно 0,7 и 0,9, получаем формулу для расчета
Результаты определения выражают ближайшим целым числом, кратным 20 при СП до 1000 и кратным 50 при СП свыше 1000.
Расхождение между результатами двух параллельных определений не должно превышать 5% среднего арифметического значения.
6. Определение средней степени полимеризации целлюлозы в ЖВНК
Для определения характеристической вязкости и средней степени полимеризации целлюлозы в научно-исследовательской практике нашло широкое применение комплексное соединение гексанатрий тристартрат железа, или так называемый железовиннонатриевый комплекс, представляющий собой комплекс железа с тартратом натрия в растворе гидроксида натрия.
Первоначально ЖВНК был получен Джайме растворением свежеосажденного гидроксида железа в водном растворе тартрата натрия с последующим добавлением избытка гидроксида натрия для уменьшения возможного гидролитического разложения образующегося комплекса. Общая концентрация твердых веществ в растворе составляла 390 .400 г/дм3 при следующем соотношении: Fe30,43 .0,52 моль/дм3, Na2C4H4O6 0,9 и NaOH 1,25 .2,75 моль/дм3. Позднее Валтасаари предложила более простую методику получения ЖВНК в одну стадию и с более точным составом. Общая концентрация твердых веществ в нем составляла 347 г/дм3 при соотношении исходных компонентов: Fe3 0,3 моль/дм3, Na2C4H4O6 0,9 и NaOH 2,4 моль/дм3 Раствор ЖВНК может быть также получен из готового кристаллического комплекса с добавкой тартрата натрия и гидроксида натрия. Этот раствор рекомендован для использования в международном стандарте.
