Определение фенолов воде
При обычных условиях она взаимодействует с активными металлами:
2H2O + Ca = Ca(ОН)2 + H2
2H2O + 2Na = 2NaOH + H2
Вода вступает в реакцию и со многими неметаллами. Например, при взаимодействии с атомарным кислородом образуется пероксид водорода:
H2O + O = H2O2
Многие оксиды реагируют с водой, образуя основания и кислоты:
CO2 + H2O = H2CO3
CaO + H2O = Ca(OH)2
При взаимодействии с некоторыми солями образуются кристаллогидраты. При нагревании они теряют кристаллизационную воду:
Na2CO3 + 10H2O = Na2CO3 * 10H2O.
Вода также разлагает большинство солей. [1,с.112]
1.1.2 Характеристика фенолов
К фенолам относятся органические соединения с гидроксидной группой в бензольном кольце.
Фенолы присутствуют в бытовых сточных водах и в разнообразных производственных сточных водах химических, нефтеперерабатывающих, нефтехимических, лесохимических, коксохимических, фармацевтических, металлургических, шпалопропиточных, анилинокрасочных и других производств.
В естественных условиях фенолы образуются в процессе метаболизма водных организмов, при биохимическом распаде и трансформации органических веществ.
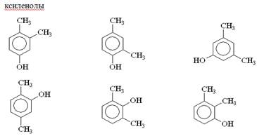
Фенолы делят на две группы: летучие с паром и нелетучие.
Летучие с паром - это ряд соединений, перегоняющихся с водяным паром.
Рис
Рис
Рис
Летучие с паром фенолы являются основным компонентом фенольных сточных вод, и вместе с ними они попадают в канализационную сеть и в поверхностные воды, загрязняя их.
Летучие с паром фенолы более токсичные, обладают более интенсивным запахом, чем нелетучие, поэтому допустимые концентрации их в водоемах чрезвычайно малы.
Особенно жесткие требования предъявляются к воде, поступающей на водопроводные станции, где она подвергается обработке хлорированием, потому что хлорпроизводные фенола, О – крезолы, м – крезол имеют неприятный запах даже в самых малых концентрациях.
Для летучих с паром фенолов предельно допустимая концентрация (ПДК) 0,001 мг/л
Нелетучие фенолы
Рис
Так как значения ПДК для разных фенолов различно, то их определяют раздельно.
Физические свойства
Большинство фенолов — бесцветные твердые вещества. Сам фенол плавится при t°=41°C. Присутствие воды в феноле понижает его температуру плавления. Смесь фенола с водой при комнатной температуре — жидкость. Фенол обладает характерным запахом. Если при комнатной температуре фенол растворим в воде незначительно, то при нагревании до 70°С он растворяется полностью.
Фенол — антисептик, его водный раствор используется для дезинфекции и называется карболовой кислотой. Фенол не самый подходящий антисептик, так как вызывает ожоги кожи, а пары его токсичны. Многочисленными исследованиями было установлено, что некоторые замещенные фенолы являются более удобными антисептиками, чем сам фенол. Одно из наиболее употреби-тельных соединений — 2,4,6-трихлорфенол. [2, с.87]
Способы получения фенолов
1. Получение из галогенбензолов. При нагревании хлорбензола и гидроксида натрия под давлением получают фенолят натрия, при дальнейшей обработке которого кислотой образуется фенол:
С6Н5―Сl + 2NaOH → C6H5―ONa + NaCl + Н2О.
2. При каталитическом окислении изопропилбензола (кумола) кислородом воздуха образуются фенол и ацетон:
Рис
Это — основной промышленный способ получения фенола.
3. Получение из ароматических сульфокислот. Реакция проводится при сплавлении сульфокислот с щелочами. Первоначально образующиеся феноксиды обрабатывают сильными кислотами для получения свободных фенолов. Метод обычно применяют для получения многоатомных фенолов:
Рис
Влияние на организм
Практически сразу после получения фенола ученые установили, что это химическое вещество обладает не только полезными свойствами, что позволяет его использовать в различных сферах науки и производства, но и является сильнодействующим ядом. Так, вдыхание паров фенола в течение непродолжительного времени может привести к раздражению носоглотки, ожогам дыхательных путей и последующему отеку легких с летальным исходом.
При соприкосновении раствора фенола с кожей образуются химические ожоги, которые впоследствии трансформируются в язвы. Если обработать раствором более 25 процентов кожных покровов, то это может стать причиной смерти человека.
Попадание фенола внутрь организма с питьевой водой, приводит к развитию язвенной болезни, атрофии мышц, нарушению координации движений, кровотечениям.
Кроме этого, ученые установили, что именно фенол является причиной возникновения раковых заболеваний, способствует развитию сердечной недостаточности и бесплодия.
Благодаря свойству окисления, пары этого химического вещества полностью растворяются в воздухе примерно через 20-25 часов. При попадании в почву фенол сохраняет свои ядовитые свойства на протяжении суток. Однако в воде его жизнеспособность может достигать 7-12 дней. Поэтому наиболее вероятный путь попадания этого ядовитого вещества в человеческий организм и на кожные покровы – загрязненная вода. [2, с.89]
1.1.2 Государственный природный заказник «Воробьёвы горы»
Особо охраняемая природная территория города Москвы природный заказник «Воробьевы горы» образован в целях сохранения, восстановления и развития природного комплекса Москвы постановлением Правительства Москвы от 21 июля 1998 г. № 564 «О мерах по развитию территорий Природного комплекса Москвы».
Задачи природного заказника:
· Сохранение историко-культурных и природных комплексов;
· Сохранение и восстановление ценных объектов и территорий, являющихся местообитаниями редких, находящихся под угрозой исчезновения или уязвимых в условиях города Москвы видов растений, животных, птиц или насекомых;
· Выполнение научно-исследовательских работ по изучению объектов особой охраны природного заказника «Воробьевы горы»;
· Создание условий для поддержания рекреационного потенциала территорий в пределах города;
· Восстановление нарушенных ландшафтов, биогеоценозов, природных, историко-культурных комплексов и объектов.
Территория природного заказника располагается в двух административных округах города Москвы - Западном и Юго-Западном. Общая площадь территории - 137,5 га.
Воробьевы горы – один из семи легендарных московских холмов, на которых стоит наш древний город. Высокий и крутой склон речной долины рассечен глубокими балками, спускающимися к самой Москве-реке. Почти на всем протяжении Воробьевы горы покрывает старый широколиственный лес. Корни мощных деревьев надежно закрепляют крутые склоны от размывания и эрозии. Под пологом леса в числе других травянистых растений встречаются ландыши, колокольчики, медуница. [4]
