Определение фенолов воде
1.2 Теоретические основы фотоэлектроколориметрического метода анализа
Фотоэлектроколориметрический метод анализа — метод количественного анализа, основанный на зависимости светопоглощения раствора от его концентрации.
Использование света видимой области спектра в данном методе дает возможность анализировать окрашенные вещества или вещества, которые можно перевести в окрашенные растворы.
В основе фотоэлектроколориметрического метода анализа лежит закон Бугера – Ламберта – Бера: абсорбционность прямо пропорциональна концентрации раствора и толщине поглощающего слоя.
А = Е * L * С
Где:
А - абсорбционность,
Е - молярный коэффициент поглощения (абсорбционности)
L - толщина поглощающего слоя,
С - концентрация раствора.
Абсорбционность – отношение интенсивности входящего светового потока к интенсивности выходящего светового потока
Абсорбционность – величина безразмерная и зависит от: 1) природы вещества 2)концентрации анализируемого вещества 3) длины волны падающего светового потока 4) толщины кюветы 5) температуры
Фотоэлектроколориметрический метод относится к объективным методам, так как интенсивность окраски растворов оценивают с помощью специальных устройств – фотоэлементов, в основе устройства которых лежит явление фотоэффекта.
Фотоэффектом называют явление отрыва электронов от атомов веществ под влиянием светового потока.
Фотоэффект бывает внешний и внутренний.
Если электроны отрываются от поверхности тела, то фотоэффект называют внешним.
Если электроны перемещаются во внутренних слоях тела, фотоэффект называют внутренним или объемным.
Устройство, в котором световая энергия преобразуется в электрическую, называют фотоэлементом.
Сущность метода определения
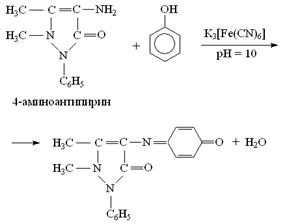
Летучие фенолы, кроме n-крезола и других фенолов, замещенных в n-положении реагируют с 4-аминоантипирином при pH = 10 в присутствии гексацианоферрата (III) калия с образованием красных антипириновых красителей.
Рис
Определению мешают:
Окислители (Cl2, NaClO), их устраняют добавлением солей Fe2+;
H2S, CN - устраняют перегонкой в присутствии CuSO4.
Необходимо строго поддерживать pH = 10. Добавление NH4Cl к смеси препятствует понижению pH после добавления реактивов.
Если pH > 10,2, то наблюдается значительное колебание интенсивности окраски. При более низких и более высоких значениях pH (кетоны, анилин, другие вещества) также образуют окраску с 4-аминоантипирином.
1.3 Отбор проб и подготовка их к анализу
1.3.1 Отбор проб
Процедура отбора проб воды регламентируется требованиями ГОСТ Р 51592-2000 «Вода. Общие требования к отбору проб», ГОСТ Р 51593-2000 «Вода питьевая. Отбор проб» и др.
Проба воды должна быть представительной (репрезентативной), т.е. должна в максимальной степени характеризовать качество воды по данному показателю, являться типичной и не искаженной вследствие концентрационных и других факторов. Различные виды водоемов (водоисточников) обуславливают некоторые особенности отбора проб в каждом случае.
При отборе проб воды можно решать две задачи: получить характеристику водоема (водотока) или получить характеристику источника загрязнения и оценить его влияние на окружающую среду.
Если решается первая задача, то не рекомендуется отбирать пробы:
в местах, подверженных влиянию притоков( для водотоков) и устьевых районах (для водоемов);
вблизи мест с активной антропогенной деятельностью (вблизи населенных пунктов, предприятий, пристаней);
в местах слабого водообмена, заливах, заводях, зарослях макрофитов, в затонах, на мелководье.
Если решается вторая задача, то, напротив, следует стремиться к отбору проб вблизи источника загрязнения или в нем самом.
Пробы из рек и водных потоков отбирают для определения качества воды в бассейне реки, пригодности воды для пищевого использования, орошения, для водопоя скота, рыборазведения, купания и водного спорта, установления источников загрязнения.
Для определения влияния места сброса сточных вод и вод притоков, пробы отбирают выше по течению и точке, где произошло полное смешение вод. Следует иметь в виду, что загрязнения могут быть неравномерно распространены по потоку реки, поэтому обычно пробы отбирают в местах максимально бурного течения, где потоки хорошо перемешиваются. Пробоотборники помещают вниз по течению потока, располагая на нужной глубине.
При централизованном водоснабжении в населенном пункте пробы воды из водоема можно брать в точке водозабора по глубине и по ширине реки. Для характеристики источника централизованного водоснабжения при существующем водозаборе допускается отбор и первичная оценка проб непосредственно после насосов первого подъема.
Пробы из природных и искусственных озер (прудов). Учитывая длительность существования озер, на первый план выступает мониторинг качества воды в течение длительного периода времени – нескольких лет, а также установление последствий антропогенных загрязнений воды (мониторинг ее состава и свойств). Качество воды в водоемах (и водотоках) носит циклический характер, причем наблюдается суточная и сезонная цикличность. По этой причине; ежедневные пробы следует отбирать в одно и тоже время суток, а продолжительность сезонных исследований должны быть не менее 1 года, включая исследования серий проб, отобранных в течение каждого времени года.
Пробы грунтовых вод отбирают для определения пригодности грунтовых вод в качестве источника питьевой воды, а также для технических или сельскохозяйственных целей; для определения влияния на качество грунтовых вод потенциально опасных хозяйственных объектов; при проведении мониторинга загрязнителей грунтовых вод.
Грунтовые воды изучают, отбирая пробы из артезианских скважин, колодцев, родников. Следует иметь в виду, что качество воды в различных водоносных горизонтах может значительно различаться, поэтому при отборе пробы грунтовых вод следует оценить доступными способами глубину горизонта, из которого отобрана проба, возможные градиенты подземных потоков, информацию о составе подземных пород, через которые пролегает горизонт. Поскольку в точке отбора пробы могут создаться концентрации различных примесей, отличные от их концентраций в водоносном слое, необходимо откачивать из скважины (или из родника, делая в нем углубление) воду в количестве, достаточном для обновления воды в скважине, водопроводе, углублении и т.п.
Пробы воды uз водопроводных сетей отбирают в целях определения общего уровня качества водопроводной воды, поиска причин загрязнения распределительной системы, контроля степени возможного загрязнения питьевой воды продуктами коррозии и др.
Для получения репрезентативных проб при отборе проб воды из водопроводных сетей соблюдают следующие правила:
отбор проб проводят после спуска воды в течение 10-15 мин — времени, обычно достаточного для обновления воды с накопившимися загрязнителями;
