Особенности полимерного состояния вещества
Период разработки и освоения производства основных полимерных материалов закончился в 70-х гг. К 90-м гг. XX в. ежегодное потребление полимерных материалов на душу населения (кг/год) достигло в развитых странах высокого уровня, который постоянно увеличивается на 2-3% в год:
полимер высокомолекулярное соединение
|
Германия |
США |
Швеция |
Япония |
Италия |
Франция |
|
101, 9 |
75, 8 |
67, 9 |
57, 8 |
53, 0 |
50, 6 |
До настоящего времени массовое производство полимерных материалов базируется на цепных полимерах, объемы производства важнейших из которых в начале 90-х г. XX в. составляли (млн т в год):
|
полиэтилен |
31,9 |
полиуретаны |
5,2 |
|
поливинилхлорид |
21,0 |
фенопласты |
3,5 |
|
полистирол |
12,0 |
аминопласты |
1,0 |
|
полипропилен |
12,0 |
эпоксидные смолы |
0,7 |
|
полиамиды |
4,5 |
Природные органические полимеры. Природные органическое полимеры образуются в растительных и животных организмах. Важнейшими из них являются полисахариды, белки и нуклеиновые кислоты, из которых в значительной степени состоят тела растений и животных (табл. 1. 1) и которые обеспечивают само функционирование жизни на Земле. Считается, что решающим этапом в возникновении жизни на Земле явилось образование из простых органических молекул более сложных - высокомолекулярных.
Таблица 1. 1 Содержание различных веществ в теле человека
|
Тип вещества |
Массовый, % |
|
Вода |
60-80 |
|
Сухой остаток: |
20-40 |
|
белки |
15-20 |
|
жиры |
3-20 |
|
полисахариды |
1-15 |
|
низкомолекулярные соединения |
<2 |
|
нуклеиновые кислоты |
<0,1 |
Полисахариды образуются из низкомолекулярных соединений общей формулы СnН2nOn, называемых сахарами или углеводами. Для Сахаров характерно наличие альдегидной или кетонной групп, в соответствии с этим первые называются альдозами, вторые - кетозами. Среди Сахаров с n = 6, называемых гексозами, имеется 16 изомерных альдогексоз и 16 кетогексоз. Однако только четыре из них (a-галактоза, d-манноза, d-глюкоза, d-фруктоза) встречаются в живой клетке. Биологическая роль Сахаров определяется тем, что они являются источником энергии, необходимой организму, которая выделяется при их окислении, и исходным материалом для синтеза макромолекул.
В последнем случае большое значение имеет способность Сахаров образовывать циклические структуры, что иллюстрируется ниже на примере глюкозы и фруктозы:
В водном растворе глюкоза содержит 99, 976% циклического изомера. У кетогексоз циклические изомеры пятичленные. Циклические молекулы моносахаридов могут связываться между собой с образованием так называемых гликозидных связей путем конденсации гидроксильных групп.
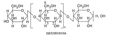
Наиболее распространены полисахариды, повторяющиеся звенья которых являются остатками a-D-глюкопиранозы или ее производных. Наиболее известна и широко применяема целлюлоза. В этом полисахариде кислородный мостик связывает 1- и 4-й атомы углерода в соседних звеньях, такая связь называется а-1, 4-гликозидной:
Химический состав, аналогичный целлюлозе, имеют крахмал, состоящий из амилозы и аминопектина, гликоген и декстран. Отличие первых от целлюлозы состоит в разветвленности макромолекул, причем амилопектин и гликоген могут быть отнесены к сверхразветвленным природным полимерам, т.е. дендримерам нерегулярного строения. Точкой ветвления обычно является шестой атом углерода a-D-глюкопиранозного кольца, который связан гликозидной связью с боковой цепью. Отличие декстрана от целлюлозы состоит в природе гликозидных связей - наряду с а-1,4-, декстран содержит также а-1,3- и а-1,6-гликозидные связи, причем последние являются доминирующими.
Химический состав, отличный от целлюлозы, имеют хитин и хитозан, но они близки к ней по структуре. Отличие заключается в том, что при втором атоме углерода a-D-глюкопиранозных звеньев, связанных а-1,4-гликозидными связями, ОН-группа заменена группами -NНСН3СОО в хитине и группой -NH2 в хитозане.
Целлюлоза содержится в коре и древесине деревьев, стеблях растений: хлопок содержит более 90 % целлюлозы, деревья хвойных пород - свыше 60 %, лиственных - около 40%. Прочность волокон целлюлозы обусловлена тем, что они образованы монокристаллами, в которых макромолекулы упакованы параллельно одна другой. Целлюлоза составляет структурную основу представителей не только растительного мира, но и некоторых бактерий.
В животном мире в качестве опорных, структурообразующих полимеров полисахариды «используются» лишь насекомыми и членистоногими. Наиболее часто для этих целей применяется хитин, который служит для построения так называемого внешнего скелета у крабов, раков, креветок. Из хитина деацетилированием получается хитозан, который, в отличие от нерастворимого хитина, растворим в водных растворах муравьиной, уксусной и соляной кислот. В связи с этим, а также благодаря комплексу ценных свойств, сочетающихся с биосовместимостью, хитозан имеет большие перспективы широкого практического применения в ближайшем будущем.
