Особенности полимерного состояния вещества
Крахмал относится к числу полисахаридов, выполняющих роль резервного пищевого вещества в растениях. Клубни, плоды, семена содержат до 70% крахмала. Запасаемым полисахаридом животных является гликоген, который содержится преимущественно в печени и мышцах.
Функцию запасаемого питательного продукта выполняет инулин, который содержится в спарже и артишоках, что придает им специфический вкус. Его мономерные звенья пятичленны, поскольку фруктоза относится к кетоам, в целом же этот полимер построен так же, как полимеры глюкозы.
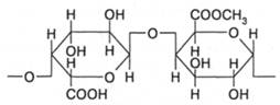
Прочность стволов и стеблей растений, помимо скелета из целлюлозных волокон, определяется соединительной растительной тканью. Значительную ее часть в деревьях составляет лигнин - до 30 %. Его строение точно не установлено. Известно, что это относительно низкомолекулярный (М ~ 104) сверхразветвленный полимер, образованный в основном из остатков фенолов, замещенных в орто-положении группами -ОСН3, в пара-положении группами -СН=СН-СН2ОН. В настоящее время накоплено громадное количество лигнинов как отходов целлюлозно-гидролизной промышленности, но проблема их утилизации не решена. К опорным элементам растительной ткани относятся пектиновые вещества и, в частности пектин, находящийся в основном в стенках клеток. Его содержание в кожуре яблок и белой части кожуры цитрусовых доходит до 30%. Пектин относится к гетерополисахаридам, т.е. сополимерам. Его макромолекулы в основном построены из остатков D-галактуроновой кислоты и ее метилового эфира, связанных a-1,4-гликозидными связями:
Из пентоз значение имеют полимеры арабинозы и ксилозы, которые образуют полисахариды, называемые арабинами и ксиланами. Они, наряду с целлюлозой, определяют типичные свойства древесины.
Упомянутый выше пектин относится к гетерополисахаридам. Помимо него, известны гетерополисахариды, входящие в состав животного организма. Гиалуроновая кислота входит в состав стекловидного тела глаза, а также жидкости, обеспечивающей скольжение в суставах (она находится в суставных сумках). Другой важный полисахарид животных - хондроитинсульфат - содержится в ткани и хрящах. Оба полисахарида часто образуют в организме животных сложные комплексы с белками и липидами.
Белки. В животном мире в качестве опорного, структурообразующего полимера обычно выступают белки. Эти полимеры построены из 20 типов так называемых а-аминокислот общей формулы:
В табл. 1.2 представлены важнейшие аминокислоты, образующие белки. Остатки аминокислот связаны в макромолекулы белка пептидными связями, возникающими в результате реакции карбоксильных и аминогрупп. Ниже эта реакция приведена для двух аминокислот - глицина и аланина:
Из табл. 1.2 видно, что большинство аминокислот, из остатков которых построен белок, имеют достаточно простое строение и алифатический радикал. Реже встречаются аминокислоты, содержащие ароматические и насыщенные циклы. Практически все аминокислоты содержат атомы С, Н, О, N, и только цистеин содержит, наряду с ними, атом серы. Образование сульфидных мостиков играет важную роль в процессах структурообразования в белках. В результате соответствующей реакции, протекающей за счет сульфогидрильных групп цистеина, образуются меж- и внутримолекулярные «сшивки» макромолекул белка. Помимо карбоксильной и аминогрупп, аминокислоты белка могут содержать также гидроксильные группы, как, например в серине и треонине.
Значение белков в живой природе трудно переоценить. Это строительный материал живых организмов, биокатализаторы - ферменты, обеспечивающие протекание реакций в клетках, и энзимы, стимулирующие определенные биохимические реакции, т.е. обеспечивающие избирательность биокатализа. Наши мышцы, волосы, кожа состоят из волокнистых белков. Белок крови, входящий в состав гемоглобина, способствует усвоению кислорода воздуха, другой белок - инсулин - ответственен за расщепление сахара в организме и, следовательно, за его обеспечение энергией.
Таблица 1.2
Молекулярная масса белков колеблется в широких пределах. Так, инсулин - первый из белков, строение которого удалось установить Ф.Сэнгеру в 1953 г., содержит около 60 аминокислотных звеньев, а его молекулярная масса составляет лишь 12000. К настоящему времени идентифицировано несколько тысяч молекул белков, молекулярная масса некоторых из них достигает 106 и более.
Следует подчеркнуть, что многообразие форм жизни обусловлено невероятно большим числом изомерных макромолекул, которые могут быть получены из аминокислот 20 типов. Согласно расчету биохимика Р.Синджа, белок, содержащий 288 аминокислотных остатков, может содержать 10300 изомеров. Каждая из жизненно важных функций, например катализ биохимических реакций, выполняется белком определенного строения и только им. Классическим примером является белок гемоглобина. Изменение порядка чередования около 300 аминокислотных остатков, входящих в его макромолекулу, путем перестановки местами хотя бы пары из них, приводит к тяжелому заболеванию животных - серповидной анемии.
Нуклеиновые кислоты. В 1868 г. швейцарский ученый Фридрих Мишер выделил из ядер клеток фосфорсодержащее вещество, которое он назвал нуклеином. Позднее это и подобные ему вещества получили название нуклеиновых кислот. Их молекулярная масса может достигать 109, но чаще колеблется в пределах 105-106. Исходными веществами, из которых построены нуклеотиды - звенья макромолекул нуклеиновых кислот, являются: сахар, фосфорная кислота, пуриновые и пиримидиновые основания. В одной группе кислот в качестве сахара выступает рибоза, в другой - дезоксирибоза:
В соответствии с природой сахара, входящего в их состав, нуклеиновые кислоты называются рибонуклеиновой и дезоксирибонуклеиновой кислотами. Общеупотребительными сокращениями являются РНК и ДНК. Нуклеиновые кислоты встречаются во всех живых организмах. Последние делятся на две группы:
прокариоты, к которым относятся одноклеточные, т.е. древние и существующие ныне бактерии, их единственная клетка не имеет ядра и содержит одну двухнитевую спираль ДНК;
эукариоты, которые включают животных, растения, грибы и простейшие, их клетки содержат ядра, в которых сконцентрирована ДНК, тогда как РНК находится как внутри, так и вне ядра.
Как уже упоминалось выше, звенья нуклеиновых кислот, называемые нуклеотидами, содержат остатки фосфорной кислоты, сахара и оснований. Образование цепи из нуклеотидов происходит в результате катализируемой ферментами конденсации групп -ОН остатков сахара и фосфорной кислоты. В результате макромолекулы всех нуклеиновых кислот имеют цепи с регулярным чередованием остатков сахара и фосфорной кислоты, что схематически может быть представлено следующим образом:
