Особенности сорбционного извлечения палладия (II) из хлоридных растворов волокнами ЦМ-А2, Мтилон-Т и ВАГ
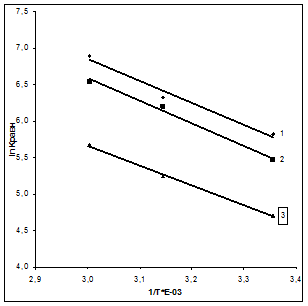
Энтальпию рассчитывали методом наименьших квадратов путем графического решения уравнения
lnKравн=-∆H/RT+∆S/R.
Зависимость lnКравн от 1/Т*10-3 представлена на рис.6.
Рис.6. Зависимость константы равновесия от температуры для сорбции палладия на волокнах ЦМ-А2(1), Мтилон-Т(2) и ВАГ(3)
По полученным данным рассчитываем энергию Гиббса процесса сорбции палладия на волокнах ЦМ-А2, Мтилон-Т и ВАГ, по формуле
∆G=-RTLnKравн.
По полученным энтальпии и энергии Гиббса рассчитываем энтропию процесса сорбции по формуле
∆S=(∆H-∆G)/T.
ИЗ полученных результатов видно, что значения энтропии и энтальпии способствуют самопроизвольному процессу сорбции палладия на волокнах ЦМ-А2, Мтилон-Т и ВАГ.
2.4.3 Изучение зависимости сорбции палладия на волокнах ЦМ-А2, Мтилон-Т и ВАГ от времени
Сорбцию проводили в статических условиях при температуре 20±1°С, масса волокна составила 0,100 ±0,002 г. Растворы палладия готовились по методике 2.2.1, рН составляла 1,0±0,1. Объем раствора 20 мл, концентрация палладия 2,0 мг/мл. Время насыщения задавали в интервале от 1 часа до 24 часов. По полученным данным (Приложение 3) построил кинетические кривые сорбции палладия в зависимости от времени рис.7.
Рис.7. Кинетические кривые сорбции палладия на волокнах ЦМ-А2(1), Мтилон-Т(2) и ВАГ(3)
Из рисунка 5 следует, что при концентрировании палладия на волокнах ЦМ-А2, Мтилон-Т и ВАГ максимальная сорбция достигается за 6, 4 и 4 часов соответственно. Время полунасыщения для волокна ЦМ-А2 равно 1,5 часа, для волокна Мтилон-Т равно 2 часа и для волокна ВАГ 1 час.
Для определения лимитирующей стадии были посчитаны степень обмена – F, по формуле 7, Вτ по методу Бойда – Адомсона (Приложение 1) и -ln(1-F) значения, которых приведены в таблице 7.
Таблица 7. Кинетические характеристики сорбции палладия на волокнах ЦМ-А2, Мтилон-Т и ВАГ.
|
время,ч |
аср, мг-экв/г |
F |
Bt |
-ln(1-F) |
|
ЦМ-А2 | ||||
|
0,5 |
0,22 |
0,12 |
0,02 |
0,13 |
|
1 |
0,67 |
0,35 |
0,20 |
0,43 |
|
2 |
1,23 |
0,65 |
0,72 |
1,04 |
|
4 |
1,80 |
0,94 |
1,60 |
2,81 |
|
6 |
1,91 |
0,99 |
1,79 |
4,61 |
|
Мтилон-Т | ||||
|
0,5 |
0,34 |
0,13 |
0,02 |
0,13 |
|
1 |
0,79 |
0,29 |
0,13 |
0,35 |
|
2 |
1,57 |
0,58 |
0,58 |
0,88 |
|
4 |
2,24 |
0,83 |
1,24 |
1,80 |
|
6 |
2,58 |
0,96 |
1,67 |
3,18 |
|
8 |
2,69 |
0,99 |
1,79 |
4,61 |
|
ВАГ | ||||
|
0,5 |
0,45 |
0,22 |
0,07 |
0,25 |
|
1 |
1,01 |
0,50 |
0,41 |
0,69 |
|
2 |
1,57 |
0,78 |
1,07 |
1,50 |
|
4 |
1,91 |
0,95 |
1,62 |
2,90 |
|
6 |
2,02 |
0,99 |
1,79 |
4,61 |
По полученным результатам построили зависимости Вτ и –ln(1-F) от времени сорбции волокон ЦМ-А2, Мтилон-Т и ВАГ (рисунки 8 и 9 соответственно).

Рис.8. Кривая зависимости Вt от времени для волокон ЦМ-А2(1), Мтилон-Т(2) и ВАГ(3)
Рис.9. Кривая зависимости Ln(1-F) от времени для волокон ЦМ-А2(1), Мтилон-Т(2) и ВАГ(3)
На основании зависимостей 8 и 9 можно утверждать, что процесс сорбции палладия на волокнах ЦМ-А2, Мтилон-Т и ВАГ имеет смешанно-диффузионный характер.
2.4.4 Расчет энергии активации процесса сорбции палладия на волокнах ЦМ-А2, Мтилон-Т и ВАГ
Сорбцию проводили в статических условиях при температурах 20±1°С; 45±1°С; 60±1°С. Масса волокна составила 0,100±0,002 г. Концентрация палладия 2,0 мг/мл. Объем составлял 20 мл, рН составляла 1,0±0,1. Концентрацию палладия определяли по методике 2.2.1. Сорбцию определяли по отношению количества палладия до и после сорбции.
