Пиразолы, тетразолы и триазолы
Оглавление
1. Введение
1.1.Свойства
1.2.Практическое применение
1.3.Методика синтеза
2.Литературный обзор. Пиразолы, тетразолы и триазолы
2.1.Общие сведения
2.2.Получение пиразолов реакцией синтеза кольца
2.3.Свойства пиразолов
2.3.1.Реакции замещения
2.3.2.Реакции, приводящие к раскрытию цикла
3.Выводы
Список литературы
1. Введение
1.1. Свойства
Циклическая система пиразола I представляет собой дважды ненасыщенное пятичленное кольцо с двумя рядом расположенными атомами азота. Кнорр впервые в 1883 г. синтезировал соединение, содержащее этот цикл. При проведении реакции ацетоуксусного эфира с фенилгидразином он получил 1-фенил-3-метил-5-пиразолон II. Вслед за изучением хинина Кнорр стал проводить исследования противолихорадочного действия II и родственных соединений; так было открыто важное жаропонижающее средство, антипирин III. Для этих соединений Кнорр ввел название пиразолы, отмечая тем самым, что данное ядро произошло из пиррола путем замены атома углерода на азот; он синтезировал много представителей этого класса и систематически изучал их свойства.
В соответствии с общими правилами номенклатуры гетероциклических соединений принята нумерация пиразолов, указанная в формулах I и II, а также названия пиразолин и пиразолидин для дигидро- и тетрагидропиразолов IV и V.
Известны три общих метода синтеза циклической системы пиразола.
Реакция гидразина и его производных, например арил- или алкилгидразинов, семикарбазида или аминогуанидина с 1,3-дикарбонильными соединениями.
Аналогичен синтез пиразолонов из β-кетоэфиров.
Реакция гидразинов с α,β-ненасыщенными карбонильными соединениями.
Пиразолоны и пиразолидоны получают из соответствующих α,β-ацетиленовых или этиленовых кислот или их производных.
Реакция алифатических диазосоединений типа диазометана или диазоуксусного эфира с ацетиленами и олефинами.
Кроме того, имеется ряд менее общих методов, находящих применение лишь в отдельных случаях.
Практическое применение
Так как фенилгидразин является наиболее легкодоступным гидразином, особое внимание было уделено 1-фенилпиразолам, которые в настоящее время можно считать самыми важными и наиболее тщательно исследованными производными. Поскольку многие лекарственные препараты и красители содержат пиразольное ядро, этот класс соединений широко изучался и исследования продолжаются и теперь, несмотря на то, что антипирин и родственные медикаменты больше не используются в США. Пиразолоновые красители особенно важны в цветной фотографии.
2. Литературный обзор. Пиразолы, тетразолы и триазолы
2.1. Общие сведения
Производные этих гетероциклов представляют собой устойчивые ароматические соединения. Многие из них используются в промышленном производстве лекарственных препаратов, пестицидов и красителей. В качестве примеров можно привести гербицид соль пиразолия 9 (дифеиэокват), раксил (10) — фунгицид, используемый для зашиты растений, фенилбутазои (11) — противовоспалительное средство и флуконазол (12) — лекарственный препарат для лечения грибковых инфекций. Производные 1,2,3-триазола применяют в качестве оптических отбеливателей. Тетразолы имеют важное значение в медицинской химии, так как N-незамещенные тетразолы можно рассматривать как аналоги карбоновых кислот: величины их рК, сравнимы (разд. 8.1), и они представляют собой плоские, делокализованные системы с примерно такими же пространственными требованиями. Были синтезированы аналоги аминокислот и многих других природных карболовых кислот, в молекулах которых карбоксильная группа заменена тетразольным циклом.
.
2.2. Получение пиразолов реакцией синтеза кольца
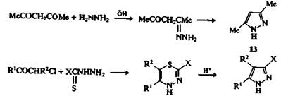
Эти гетероциклы можно синтезировать с помощью реакций замыкания цикла и циклоприсоединения. Наиболее общий метод получения пиразолов заключается во взаимодействии 1,3-дикарбонильных соединений или их аналогов (таких, как сложные эфиры енолов) с гидразинами. В качестве примера приведем синтез 3,5-диметилпиразола (13) из пентан-диона-2,4 и гидразина. Недостаток этого метода заключается в том, что несимметричные дикарбонильные соединения или их производные иногда образуют смеси изомерных пиразолов. К хорошим результатам в получении некоторых N-незамещенных пиразолов приводит взаимодействие гидразидов XCSNHNH2 (X=.SR или NR2) с а-галогенокетонами. В ходе реакции в качестве интермедиатов образуются тиадиазины 14, которые либо самопроизвольно, либо при обработке кислотами элиминируют атом серы и превращаются в пиразолы с хорошим выходом.
Пиразолы можно также получить циклизацией ацетиленовых гидразинов, электроциклизацией ненасыщенных диазосоединений, 1,3-диполярным циклоприсоединением диазосоединений и нитрилимидов.
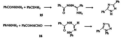
Существует много удобных методов синтеза 1,2,4-триазолов, наиболее важные из которых основаны на создании и циклизации структур типа N—С—N—N—С и С—N—С—N—N. В качестве примера первого типа можно привести термическую конденсацию ацилгидразида с амидом или (что лучше) с тиоамидом (реакция Пеллиццари); так, бензоилгидразид вступает в реакцию с тиобенза-мидом при 140 °С с образованием 3,5-дифенил-1,2,4-триазола (15). Примером второго типа циклизации служит реакция Эйнхорна — Бруннера, в которой гидразин или монозамещенный гидразин конденсируется с диациламином в присутствии слабой кислоты. Так, при взаимодействии фенилгидразина и N-формальбензамида образуется с хорошим выходом 1,5-дифенил-1,2,4-триазол (16).
1Н-1,2,3-Триазолы могут быть получены 1,3-диполярным присоединением разнообразных ароматических азидов XN3 (X = алкил, винил, арил, ацил, арилсульфонил и т. д.) к ацетиленам. Некоторые соединения (енолят-анионы, простые эфиры енолов, енамины, а-ацил-фосфорилиды) при взаимодействии с азидами дают 1,2,3-триазолы. Например, илид 17 реагирует с азидобензолом в растворе при температуре 80 °С с образованием 1,5-дифенил-1,2,3-триазола с хорошим выходом. Эти реакции, в противоположность присоединению к ацетиленам, высоко региоселективны. Иногда при присоединении азидов (например, триметилсилил- или ацилазидов) образуются 2Н-1,2,3-триазолы; при этом, очевидно, миграция заместителя к атому N-2 происходит после замыкания цикла. Наиболее часто 2Н-1,2,3-триазолы получают из 1,2-дикетонов. Примером реакции такого типа может служить окислительная циклизация в присутствии солей меди(Н) бис-арилгидразонов 1,2-дикетонов. Возможный механизм циклизации бис-фенилгндразонов а-кетоальдегидов 18 приведен ниже.
