Полимерные композиты на основе диальдегилцеллюлозы и полигуанилинметакрилата
I. Окисление первичных спиртовых групп элементарного звена до альдегидных групп:
II. Окисление первичных спиртовых групп до карбоксильных групп:
III. Окисление вторичных спиртовых групп элементарного звена (в положении 2 или 3) до кетогрупп, например
IV. Одновременное окисление вторичных спиртовых групп в положениях 2 и 3 до альдегидных групп, сопровождающееся разрывом пиранового цикла элементарного звена:
V. При комбинированном действии окислителей может произойти дальнейшее окисление альдегидных групп, образующихся при окислении вторичных спиртовых групп, до карбоксильных групп:
Кроме того, принципиально возможно присоединение кислорода к «кислородному мостику» между элементарными звеньями макромолекул целлюлозы или к амиленоксидному кольцу элементарного звена макромолекулы с образованием перекисей. Звенья перекиси затем распадаются и обуславливают разрыв глюкозной связи между звеньями или расщепление пиранового цикла. До настоящего времени удалось осуществить не все перечисленные схемы избирательного окисления различных спиртовых групп целлюлозы. В большинстве случаев при действии различных окислителей на целлюлозу происходит одновременное окисление как первичных, так и вторичных спиртовых групп с образованием в различном соотношении альдегидных, кетон-ных и карбоксильных групп, находящихся у различных атомов углерода элементарного звена макромолекулы.
В зависимости от условий проведения процесса, в частности от рН среды, в отдельных случаях удается изменять соотношение карбонильных и карбоксильных групп в макромолекулах окисленной целлюлозы. Регулировать соотношение между скоростью окисления первичных и вторичных спирто вых групп целлюлозы, что имеет большое значение для свойств получаемых продуктов, пользуясь окислителями, применяемыми в технике, пока не представляется возможным.
В последние годы разработаны методы избирательного окисления спиртовых групп молекул целлюлозы по схемам II, IV и V. Реакции избирательного окисления спиртовых групп по схеме II и III, т.е. окисление только первичных спиртовых групп до альдегидных групп или окисление только вторичных спиртовых групп до кетогрупп без разрыва пиранового кольца пока не осуществлены.
Окисление целлюлозы некоторыми типами окислителей (йодная кислота и ее соли, тетраацетат свинца, двуокись азота) может быть использовано для синтеза ряда производных целлюлозы, содержащих альдегидные или карбоксильные группы преимущественно у определенных углеродных атомов элементарного звена макромолекулы. Необходимо, однако, отметить, что в некоторых из образующихся при окислении соединений, например в продукте окисления целлюлозы йодной кислотой - диальдегидцеллюлозе и ее производных, пиранозный цикл, наличие которого является характерной особенностью химической структуры целлюлозы, разрушен в процессе окисления [35].
1.5 Избирательное окисление вторичных спиртовых групп йодной кислотой
Метод одновременного окисления обеих вторичных спиртовых групп целлюлозы, также как и других полисахаридов и моносахаридов, до альдегидных групп разработан в 1935- 1938 г. Гудсоном и Джаксоном. Для этой цели была использована реакция окисления целлюлозы йодной кислотой. При действии йодной кислоты на многоатомные спирты, в частности на мо-но- и полисахариды, происходит одновременное окисление в альдегидные группы двух соседних спиртовых групп (гликолевая группировка) с одновременным разрывом углерод - углеродных связей между ними. Для целлю лозы процесс окисления протекает с разрывом пиранового кольца и образованием диальдегидцеллюлозы. При последующем окислении образуется ди-карбоксилцеллюлоза.
Первичные спиртовые группы при действии йодной кислоты не окисляются. Продукт окисления целлюлозы йодной кислотой представляет собой полиполуацеталь эритрозы и глиоксаля. Он назван Роговиным диальдегид-целлюлозой и может быть отнесен к оксицеллюлозам только условно, поскольку один из основных признаков целлюлозы (наличие пиранового цикла) у этих соединений отсутствует.
Окисление в молекуле целлюлозы даже очень небольшого числа глико-левых групп до диальдегидных резко понижает устойчивость гликозидных связей к действию щелочей и даже горячей воды.
Интенсивной деструкцией препаратов диальдегидцеллюлозы в щелочной среде объясняется крайне низкая вязкость медноаммиачных растворов диальдегидцеллюлозы. Сравнительное исследование скорости кислотного гидролиза целлюлозы и диальдегидцеллюлозы [35, 36] позволило сделать вывод о том, что образование диальдегидных групп также значительно уменьшает устойчивость гликозидных связей к гидролизу. Аналогичные данные были получены для низкомолекулярных модельных соединений.
Хид [37] при метилировании диальдегидцеллюлозы со степенью окисления (среднее количество окисленных гликолевых групп на элементарное звено) до 0,93 0,5 М эфирным раствором диазометана, содержащим 25 г/л воды, получил продукт с содержанием метоксильных групп до 18,6% (степень замещение около 1,0). Неокисленная целлюлоза, подвергнутая метилированию в аналогичных условиях, содержит не более 6 % СНЗО - групп. Продукт метилирования диальдегидцеллюлозы не растворяется в медноам-миачном растворе; медное число меньше 1.
При взаимодействии диальдегидцеллюлозы (содержание альдегидных групп 18%) с газообразной двуокисью азота в присутствии Р2О5 [37] происходит полное превращение спиртовых и полуацетальных гидроксильных групп, а также гидратированных альдегидных групп в нитратные группы (для продукта взаимодействия вычислено: N 13,61%; найдено: N 12,78%, СНО 0,73%):
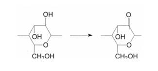
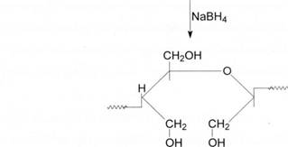
Восстановление альдегидных групп в диальдегидцеллюлозе до гидроксильных впервые было осуществлено Меллером [20, 30] действием водных растворов боргидрида натрия. Реакция восстановления протекает по схеме:
Линдберг и Тиндер использовали восстановление диальдегидцеллюлозы боргидридом натрия как количественный метод определения карбонильных групп в продуктах окисления целлюлозы. Детальное исследование условий восстановления было осуществлено Хидом. Как было показано в работе, восстановление альдегидных групп в гидроксильные повышает устойчивость гликозидной связи к действию щелочных реагентов [32, 35].
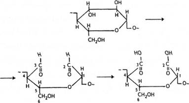
При восстановлении боргидридом натрия диальдегидцеллюлозы с высокой степенью окисления и последующем гидролизе был получен эритрит.
1.6 Синтез целлюлозных материалов, содержащих антимикробные вещества
Методы синтеза производных целлюлозы и получения модифицированных волокнистых материалов, содержащих химически связанные антимикробные вещества, разрабатываются на протяжении последних двадцати лет. Однако до настоящего времени окончательно не решен один из важнейших вопросов, возникающих при разработке этой проблемы - вопрос о том, при каких типах химической связи между антимикробным веществом и макромолекулой целлюлозы проявляется антимикробная активность материала, как влияет строение указанных полимеров на их химические и антимикробные свойства. Систематическое исследование этой проблемы имеет существенное теоретическое и большое практическое значение, так как только научно обоснованный подход позволит создать высокоактивные антимикробные волокнистые материалы, антимикробные свойства которых будут сохраняться на протяжении всего периода применения изготовленных из них изделий даже при очень жестких условиях эксплуатации и многократных мокрых обработках.
