Природные источники углеводородов
Глава 2. ПРИРОДНЫЕ ИСТОЧНИКИ
Природными источниками углеводородов являются горючие ископаемые - нефть и газ, уголь и торф. Залежи сырой нефти и газа возникли 100-200 миллионов лет назад из микроскопических морских растений и животных, которые оказались включенными в осадочные породы, образовавшиеся на дне моря, В отличие от этого уголь и торф начали образовываться 340 миллионов лет назад из растений, произраставших на суше.
Природный газ и сырая нефть обычно обнаруживаются вместе с водой в нефтеносных слоях, расположенных между слоями горных пород (рис. 2). Термин «природный газ» применим также к газам, которые образуются в природных условиях в результате разложения угля. Природный газ и сырая нефть разрабатываются на всех континентах, за исключением Антарктиды. Крупнейшими производителями природного газа в мире являются Россия, Алжир, Иран и Соединенные Штаты. Крупнейшими производителями сырой нефти являются Венесуэла, Саудовская Аравия, Кувейт и Иран.
Природный газ состоит главным образом из метана (табл. 1).
Сырая нефть представляет собой маслянистую жидкость, окраска которой может быть самой разнообразной – от темно-коричневой или зеленой до почти бесцветной. В ней содержится большое число алканов. Среди них есть неразветвленные алканы, разветвленные алканы и циклоалканы с числом атомов углерода от пяти до 40. Промышленное название этих циклоалканов-начтены. В сырой нефти, кроме того, содержится приблизительно 10% ароматических углеводородов, а также небольшое количество других соединений, содержащих серу, кислород и азот.
Рисунок 2 Природный газ и сырая нефть обнаруживаются в ловушках между слоями горных пород.
Таблица 1 Состав природного газа
|
Компоненты |
Формула |
Содержание,% |
|
Метан |
СН4 |
88-95 |
|
Этан |
С2Н6 |
3-8 |
|
Пропан |
С3Н8 |
0,7-2,0 |
|
Бутан |
С4Н10 |
0,2-0,7 |
|
Пентан |
С5Н12 |
0,03-0,5 |
|
Диоксид углерода |
СО2 |
0,6-2,0 |
|
Азот |
N2 |
0,3-3,0 |
|
Гелий |
Не |
0,01-0,5 |
Уголь является древнейшим источником энергии, с которым знакомо человечество. Он представляет собой минерал (рис. 3), который образовался из растительного вещества в процессе метаморфизма. Метаморфическими называются горные породы, состав которых подвергся изменениям в условиях высоких давлений, а также высоких температур. Продуктом первой стадии в процессе образования угля является торф, который представляет собой разложившееся органическое вещество. Уголь образуется из торфа после того, как он покрывается осадочными породами. Эти осадочные породы называются перегруженными. Перегруженные осадки уменьшают содержание влаги в торфе.
В классификации углей используются три критерия: чистота (определяется относительным содержанием углерода в процентах); тип (определяется составом исходного растительного вещества); сортность (зависит от степени метаморфизма).
Таблица 2Содержание углерода в некоторых видах топлива и их теплотворная способность
| Топливо |
Содержание углерода, % | Теплотворная способность, кДж/кг |
|
Дрова |
50,0 |
19 800 |
|
Торф |
59,9 |
18 700 |
|
Лигнит |
61,8 |
20 900-25 600 |
|
Бурый уголь |
69,5 |
27 200 |
|
Каменный уголь |
78,7 |
32 100 |
|
Антрацит |
91,0 |
32 600 |
Самыми низкосортными видами ископаемых углей являются бурый уголь и лигнит (табл. 2). Они ближе всего к торфу и характеризуются сравнительно низким содержанием углерода и высоким содержанием влаги. Каменный уголь характеризуется меньшим содержанием влаги и широко используется в промышленности. Самый сухой и твердый сорт угля – это антрацит. Его используют для отопления жилищ и приготовления пищи.
В последнее время благодаря техническим достижениям становится все более экономичной газификация угля. Продукты газификации угля включают моноксид углерода, диоксид углерода, водород, метан и азот. Они используются в качестве газообразного горючего либо как сырье для получения различных химических продуктов и удобрений.
Уголь, как это изложено ниже, служит важным источником сырья для получения ароматических соединений.
Рисунок 3 Вариант молекулярной модели низкосортного угля. Уголь представляет собой сложную смесь химических веществ, в состав которых входят углерод, водород и кислород, а также небольшие количества азота, серы и примеси других элементов. Кроме того, в состав угля в зависимости от его сорта входит различное количество влаги и различных минералов.
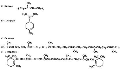
Рисунок 4 Углеводороды, встречающиеся в биологических системах.
Углеводороды встречаются в природе не только в горючих ископаемых, но также и в некоторых материалах биологического происхождения. Натуральный каучук является примером природного углеводородного полимера. Молекула каучука состоит из тысяч структурных единиц, представляющих собой метилбута-1,3-диен (изопрен); ее строение схематически показано на рис. 4. Метилбута- 1,3-диен имеет следующую структуру:
