Природные источники углеводородов
Катализатором для этого процесса является растворимый анионный комплекс родия [Rh(CO)2I2]. Этот способ используется для промышленного получения уксусной кислоты, потребности в которой превосходят масштабы ее получения в результате процесса ферментации.
Растворимые соединения родия, возможно, станут использоваться в будущем в качестве гомогенных катализаторов процесса получения этан-1,2-диола из синтез-газа:
Эта реакция протекает при температуре 300°С и давлении порядка 500-1000 атм. В настоящее время такой процесс экономически невыгоден. Продукт этой реакции (его тривиальное название - этиленгликоль) используется в качестве антифриза и для получения различных полиэфиров, например терилена.
Метан используется также для получения хлорометанов, например трихлоро-метана (хлороформа). Хлорометаны имеют разнообразные применения. Например, хлорометан используется в процессе получения силиконов.
Наконец, метан все больше используется для получения ацетилена
Эта реакция протекает приблизительно при 1500°С. Чтобы нагреть метан до такой температуры, его сжигают в условиях ограниченного доступа воздуха.
Этан тоже имеет ряд важных применений. Его используют в процессе получения хлороэтана (этилхлорида). Как было указано выше, этилхлорид используется для получения тетраэтилсвинца(IV). В Соединенных Штатах этан является важным сырьем для получения этилена (табл. 6).
Пропан играет важную роль в промышленном получении альдегидов, например метаналя (муравьиного альдегида) и этаналя (уксусного альдегида). Эти вещества имеют особенно важное значение в производстве пластмасс. Бутан используется для получения бута-1,3-диена, который, как будет описано ниже, используется для получения синтетического каучука.
§ 2. Алкены
Этилен. Одним из важнейших алкенов и вообще одним из самых важных продуктов нефтехимической промышленности является этилен. Он представляет собой сырье для получения многих пластмасс. Перечислим их.
Полиэтилен. Полиэтилен представляет собой продукт полимеризации этилена:
Полихлороэтилен. Этот полимер имеет еще название поливинилхлорид (ПВХ). Его получают из хлороэтилена (винилхлорида), который в свою очередь получают из этилена. Суммарная реакция:
1,2-Дихлороэтан получают в виде жидкости либо газа, используя в качестве катализатора хлорид цинка либо хлорид железа(III).
При нагревании 1,2-дихлороэтана до температуры 500°С под давлением 3 атм в присутствии пемзы образуется хлороэтилен (винилхлорид)
Другой способ получения хлороэтилена основан на нагревании смеси этилена, хлоро-водорода и кислорода до 250°С в присутствии хлорида меди(II) (катализатор):
Полиэфирное волокно. Примером такого волокна является терилен. Его получают из этан-1,2-диола, который в свою очередь синтезируют из эпоксиэтана (этиленоксида) следующим образом:
Этан-1,2-диол (этиленгликоль) используется также в качестве антифриза и для получения синтетических моющих средств.
Этанол получают гидратацией этилена, используя в качестве катализатора фосфорную кислоту на носителе из кремнезема:
Этанол используется для получения этаналя (ацетальдегида). Кроме того, его используют в качестве растворителя для лаков и политур, а также в косметической промышленности.
Наконец, этилен используется еще для получения хлороэтана, который, как было указано выше, применяется для изготовления тетраэтилсвинца(IV) - антидетонаторной присадки к бензинам.
Пропен. Пропен (пропилен), как и этилен, используется для синтеза разнообразных химических продуктов. Многие из них используются в производстве пластмасс и каучуков.
Полипропен. Полипропен представляет собой продукт полимеризации пропена:
Пропанон и пропеналь. Пропанон (ацетон) широко используется в качестве растворителя, а кроме того, применяется в производстве пластмассы, известной под названием плексигласа (полиметилметакрилат). Пропанон получают из (1-метилэтил) бензола или из пропан-2-ола. Последний получают из пропена следующим образом:
Окисление пропена в присутствии катализатора из оксида меди(II) при температуре 350°С приводит к получению пропеналя (акрилового альдегида):
Пропан-1,2,3-триол. Пропан-2-ол, пероксид водорода и пропеналь, получаемые в описанном выше процессе, могут использоваться для получения пропан-1,2,3-триола (глицерина):
Глицерин применяется в производстве целлофановой пленки.
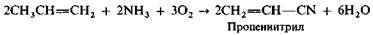
Пропеннитрил (акрилонитрил). Это соединение используется для получения синтетических волокон, каучуков и пластмасс. Его получают, пропуская смесь пропена, аммиака и воздуха над поверхностью молибдатного катализатора при температуре 450°С:
Метилбута-1,3-диен (изопрен). Его полимеризацией получают синтетические каучуки. Изопрен получают с помощью следующего многостадийного процесса:
Эпоксипропан используется для получения полиуретановых пенопластов, полиэфиров и синтетических моющих средств. Его синтезируют следующим образом:
Бут-1-ен, бут-2-ен и бута-1,2-диен используются для получения синтетических каучуков. Если в качестве сырья для этого процесса используются бутены, их сначала превращают в бута-1,3-диен путем дегидрирования в присутствии катализатора - смеси оксида хрома(Ш) с оксидом алюминия:
§ 3. Алкины
Важнейшим представителем ряда алкинов является этин (ацетилен). Ацетилен имеет многочисленные применения, например:
– в качестве горючего в кислородно-ацетиленовых горелках для резки и сварки металлов. При горении ацетилена в чистом кислороде в его пламени развивается температура до 3000°С;
– для получения хлороэтилена (винилхлорида), хотя в настоящее время важнейшим сырьем для синтеза хлороэтилена становится этилен (см. выше).
– для получения растворителя 1,1,2,2-тетрахлороэтана.
