Прогнозирование критической температуры. Алканы и алкены
В [25, 48] нами было показано, что внесение некоторых изменений в методологию Кира и Халла позволяет расширить прогностические возможности метода. Считаем принципиально важным отказ от универсальности
и переход к кодовым числам как настраиваемым по рассматриваемому свойству параметрам. Это позволяет более полно использовать возможности, которые заложены в алгоритме Рандича.
Расчет индексов молекулярной связности производится следующим образом.
1. Каждому углеродному или гетероатому в соответствии с его типом присваивается кодовое число
(рис. 5.3). Значения кодовых чисел для углеродных атомов на рисунке взяты из табл. 5.4.
Р и с. 5.3. Кодовые числа в молекуле 2-метилпентана
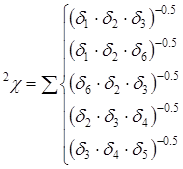
2. В соответствии с порядком i индекса молекулярной связности
в молекуле выбираются цепочки из i+1 последовательно связанных атомов. Кодовые числа атомов, входящих в эти цепочки, перемножаются, и индексы молекулярной связности рассчитываются как суммы этих произведений, взятых в степени -0,5. Для приведенной молекулы 2-метилпентана расчет индексов
и
будет выглядеть следующим образом:

Дальнейшая работа с индексами и прогнозируемым свойством сводится к определению вида зависимости, адекватно описывающей экспериментальные данные. При этом в авторской редакции [44] используется набор индексов различного порядка, которые связаны со свойством полилинейной зависимостью. Нами использованы не индивидуальные, а суммарные индексы молекулярной связности
, высший порядок которых устанавливался на основе экспериментальных данных и определял общую глубину детализации расчетного метода. При использовании в качестве опорного свойства нормальной температуры кипения глубину детализации метода при прогнозировании критической температуры можно ограничить 1-2.
Учитывая особую значимость критической температуры для прогнозирования свойств, зависящих от межмолекулярных взаимодействий, мы сочли необходимым на примере некоторых важных классов органических соединений детально изложить работу с методом и получаемые при этом результаты.
Алканы
Экспериментальные данные по алканам (табл. 5.1) использованы следующим образом. Значения кодовых чисел для первичного (
) и вторичного (
) углеродных атомов заданы и аналогичны принятым Рандичем [43]. Значения кодовых чисел для третичных и четвертичных атомов углерода определены одновременно с коэффициентами корреляционной зависимости совместной обработкой всех экспериментальных данных по алканам, приведенных в табл. 5.1.
Анализ получаемых при этом результатов показал, что для структур, представленных в табл. 5.1, достаточно использовать одно значение кодового числа для третичного углеродного атома и одно - для четвертичного. Значения их приведены в табл. 5.4. Таким образом, для прогнозирования критических температур алканов достаточно знания всего четырех значений кодовых чисел
, два из которых заданы, а два являются настроенными по свойству параметрами.
Таблица 5.4
Значения кодовых чисел для расчета (1-2) при прогнозировании критической температуры методом, основанным на индексах молекулярной связности
|
Группа |
Кодовое число, i |
n* |
Комментарий |
|
C1 |
1,000 |
Задано |
Углерод метильной группы во всех классах органических соединений |
|
C2 |
2,000 |
Задано |
Углерод метиленовой группы в насыщенных фрагментах молекул |
|
C3 |
4,226 |
32 |
Третичный углеродный атом насыщенных фрагментов молекул |
|
C4 |
9,675 |
22 |
Четвертичный углеродный атом насыщенных фрагментов молекул |
|
=CH2 |
1,448 |
23 |
Незамещенный углерод при двойной связи в ациклической части молекул |
|
=CH |
2,096 |
24 |
Углерод при двойной связи в ациклической части молекул, имеющий один алкильный заместитель |
|
=C |
4,398 |
6 |
Углерод при двойной связи в ациклической части молекул, имеющий два алкильных заместителя |
|
Car-(H) |
3,988 |
60 |
Незамещенный углерод ароматического ядра |
|
Car-(C), Car-(О) |
3,878 3,878 |
43 13 |
Замещенный углерод ароматического ядра, кроме указанного ниже случая |
|
C(конденс.) |
7,896 |
5 |
Узловые углеродные атомы производных нафталина |
|
Nb |
4,725 |
11 |
Азот ароматического ядра пиридинов |
|
OH |
0,6454 |
13 |
Гидрокси-группа фенолов |
|
OH |
3,540 |
17 |
Гидрокси-группа первичных спиртов |
|
OH |
3,540 |
10 |
Гидрокси-группа вторичных спиртов |
|
OH |
3,540 |
3 |
Гидрокси-группа третичных спиртов |
