Производство бета-каротина
В реактор из эмалированной стали 31, снабженный мешалкой, барботером для подвода ацетилена загружают толуол из мерника 32 и порошкообразное едкое кали, нагревают до 80° С и из баллона 33 пропускают ацетилен при перемешивании в течение 2 ч. После прекращения нагревания уменьшают ток ацетилена, охлаждают рассолом до —12—10° С и постепенно в течение 3 ч приливают метилгептенон из мерника 34. Затем добавляют воды и после перемешивания разделяют слои в делительной воронке 35. Толуольный раствор переводят в реактор 36, в котором нейтрализуют углекислотой. В перегонном аппарате 37 отгоняют толуол, а затем при остаточном давлении 12—14 мм рт. ст. собирают фракцию, кипящую при температуре 89—91С. Выход 76—80%.
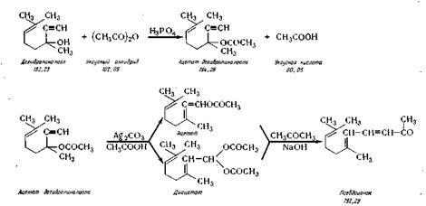
Дегидроналоол — бесцветная жидкость, температура кипения 78—80°С при остаточном давлении 8 мм рт. ст.; Cl0H12O, молекулярная масса 152,23; плотность ==1,4632. Хорошо растворим в органических растворителях, плохо — в воде.
Псевдоионон. Псевдоионон получают из дегидролиналоола путем аци-лирования его, изомеризации ацетата, омыления его и конденсации с аце тоном в присутствии едкого натра. Синтез протекает по следующей схеме
В реактор из нержавеющей стали 38 загружают из мерника 39 дегидролиналоол, из мерника 40уксусный ангидрид и из мерника 41 каталитическое количество фосфорной кислоты, перемешивают (температура не выше 50° С) и выдерживают 14—15 ч при температуре 18° С. Затем вводят в реактор из баллона 42 азот, нагревают реакционную массу до 90° С и добавляют каталитическое количество карбоната серебра, продолжая перемешивание 1,5 ч при температуре 90° С. Далее реакционную массу охлаждают до 20° С и передают под давлением в реактор 43, в который из мерника 44 загружают 20%-ный водный раствор хлористого натрия. После перемешивания разделяют слои в делительной воронке 45. В ней же промывают верхний слой раствором хлористого натрия до нейтральной реакции. Затем верхний слой переводят в реактор 46 и вводят в него из мерника 47 ацетон и из мерника 48,8%-ный водный раствор едкого натра, нагревают до 40° С и перемешивают 2,5—3 ч. Реакционную массу при температуре 20° С нейтрализуют уксусной кислотой из мерника 49. В делительной воронке 50 разделяют слои: нижний слой поступает в сборник 51, откуда далее направляют на регенерацию. Верхний слой промывают в колонке 52 раствором хлористого натрия. Промытый слой (технический псевдоионон) передают в сборник 53 и далее в вакуум-перегонный аппарат 54, снабженный колонкой, дефлегматором и конденсатором. Перегонку ведут при остаточном давлении 6—7 мм рт. ст., отбирают фракцию, кипящую при 131—135°С в сборник 55. Выход 54—55%.
Псевдоионон — желтоватая маслянистая жидкость, хорошо растворима в органических растворителях, плохо — в воде, температура кипения при остаточном давлении 5 мм рт. ст.— 120° С; С13Н10О, молекулярная масса 192,29; n2D°=l,5300, df = 0,8954; Xmax = 291 нм, Е= 1205; содержание не ниже 95%.
СИНТЕЗ β-ИОНОНА
β-Ионон получают процессом циклизации псевдоионона под влиянием смеси концентрированной серной кислоты и ледяной уксусной кислоты в среде толуола по химической схеме:
В реактор 1 из сборника 2 загружают псевдоионон и из сборника 3 толуол и перемешиванием получают толуольный раствор псевдоионона (плотность 890—900 кг/м3), подаваемый насосом 4 в мерник 5. В реактор из эмалированной стали 6 сливают концентрированную серную кислоту из мерника 7, которую в реакторе 6 охлаждают до 0°, а затем медленно загружают из мерника 8 ледяную уксусную так, чтобы температура не поднималась выше 15° С. Смесь кислот насосом 8 подают в мерник 9. В аппарат для циклизации 10 из нержавеющей стали, снабженный мешалкой и рубашкой, подают из мерника 9 смесь кислот, а из мерника 5 толуольный раствор псевдоионона. Реакция протекает при температуре минус 7—10° С в течение 1 ч. Для нейтрализации реакционной массы применяют 18—20%-ный раствор углекислого натрия. В реактор // загружают углекислый натрий, из мерника 12 воду и при перемешивании насыщенный раствор насосом 13 подают в мерник 14. Из аппарата циклизации 10 нейтрализованная реакционная масса поступает в делительную воронку 15, где промывается раствором карбоната натрия и далее поступает в сборник 16 и в перегонный аппарат 17. В нем отгоняют толуол в сборники 18 и 19 при остаточном давлении 20 мм рт. ст. Остаток перегоняют при остаточном давлении 1 мм рт. ст. в перегонном аппарате 20 и собирают в приемнике. Выход 75%.
β-Ионон — желтоватая маслянистая жидкость, температура кипения 118—120°С при остаточном давлении 5 мм рт. ст. и 132° С при остаточном давлении 12 мм рт. ст., С13Н2оО, молекулярная масса 192,29; по =1,5210; хорошо растворим в органических растворителях, плохо в воде; Xmах= 296 нм, E=557.
СИНТЕЗ АЛЬДЕГИДА С14 [4(2',6',6'-ТРИМЕТИЛЦИКЛОГЕКСЕН-
Г-ИЛ)-2-МЕТИЛБУТЕН-З-АЛЬ-1]
Синтез альдегида С14 осуществляют по реакции Дарзана путем конденсации (3-ионона с метиловым или этиловым эфиром монохлоруксусной кислоты в присутствии метилата натрия. Реакции протекают по следующей схеме:
Реакция конденсации. В реактор 21, снабженный охлаждающей рубашкой и мешалкой, загружают (3-ионон из сборника 22 и в течение 2—3 ч при ливают из мерника 23 этиловый эфир хлоруксусной кислоты, а из сборника 24 сухой метилат натрия. Температуру при этом поддерживают минус 5—7° С. В результате реакции конденсации получается глицидный эфир, который из раствора не выделяют.
Омыление. Глицидный эфир омыляют раствором едкого натра в водном метаноле, который добавляют из смесителя 25 в тот же реактор в течение 1,5—2 ч при температуре 18—20°С. В результате омыления получают натриевую соль глицидного эфира.
Декарбоксилирование. В реактор 21 добавляют воду и дихлорэтан, перемешивают, а затем направляют реакционную массу в делительную воронку 26. Нижний дихлорэтановый слой отделяют в воронке и в смесителе 27 промывают водным раствором поваренной соли, приготовленном в смесителе 28. Нижний слой спускают в смеситель 29, затем добавляют в этот смеситель сульфат натрия и перемешивают. Сухой экстракт переводят в вакуум-перегонный аппарат 30, отгоняют дихлорэтан, а затем под глубоким вакуумом (0,1 мм рт. ст. при температуре около 100° С) отгоняют альдегид С14. При необходимости альдегид подвергают ректификации при остаточном давлении 0,3—0,5 мм рт. ст.
Альдегид С14 — светло-желтая маслянистая жидкость с температурой кипения 103—106° С при остаточном давлении 0,2 мм рт. ст., хорошо растворим в органических растворителях, плохо—в воде. При хранении неустойчив. Формула С14Н220, молекулярная масса 206,14.
ТЕХНОЛОГИЧЕСКАЯ СХЕМА ПРОИЗВОДСТВА СИНТЕТИЧЕСКОГО
р-КАРОТИНА
Технология производства базируется на однокомпонентном методе синтеза, разработанном Ингоффеном и усовершенствованном Излером с их соавторами. Этот метод нашел свое дальнейшее развитие в исследованиях Н. Преображенского, Г. Самохвалова и Л. Вакуловой. Метод заключается в конденсации двух молекул альдегида С19 с молекулой ацетилена по реакции Гриньяра. Технология включает следующие стадии синтеза: синтез (3-С16-альдегида из β-С14-альдегида; синтез β-С)9-альдегида из (3-С16-альдегида; синтез 15,15-дегидро-(3-каротина изС19-альдегида и ацетилена; синтез транс-β-каротипа из 15,15-дегидро-β-каротина.
