| оптическая плотность, отн.ед. | |
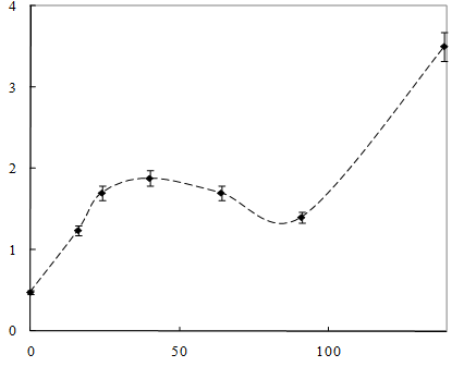
Рисунок 7 – Динамика роста штамма Sm11 в среде, содержащей МФК

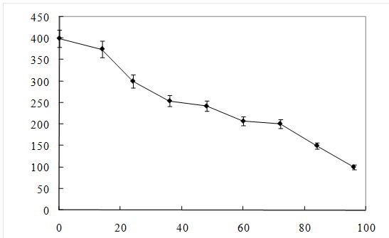
Рисунок 8 – Изменение концентрации МФК
В рассматриваемых системах различают следующие фазы размножения:
лаг-фаза – период между засевом и началом размножения;
экспоненциальная фаза – период размножения микроорганизмов с постоянной скоростью;
фаза гибели – период, в течение которого популяция погибает.
Как видно из рисунка 7, рост культуры на среде, содержащей МФК, начинался после непродолжительной лаг-фазы – не более 10 часов, затем наблюдался значительный рост микроорганизмов. Концентрация МФК уменьшается в 2 раза в течение 40 -45 часов (рисунок 8). После 58 – 62 часов рост культуры и потребление МФК прекращалось, что обусловлено недостатком в питательной среде источника углерода. При добавлении глутамата натрия рост клеток возобновлялся, и наблюдалось дальнейшее уменьшение концентрации МФК.
Для оценки возможности биодеструкции изопропилового, изобутилового и пинаколилового эфиров использовали отобранный ранее штамм Sm11 рода Alcaligenes sp.
Начальная концентрация кислого эфира составляла 0,2 г/л. Рост культур контролировали по изменению оптической плотности. По данным измерений оптической плотности и концентрации загрязнителя строили кривые роста культур и потребления кислых эфиров.
Динамика роста культуры и потребления изопропилового эфира представлена на рисунке 9 и 10.

| оптическая плотность, отн.ед. | |
Рисунок 9 – Динамика роста штамма Sm11 в среде, содержащей изопропиловый эфир МФК


Рисунок 10 – Изменение концентрации изопропилового эфира МФК
Как видно из рисунка 9, рост культуры на среде, содержащей изопропиловый эфир, начинался практически без лаг-фазы, сразу наблюдался значительный рост микроорганизмов. При этом наблюдается уменьшение концентрации изопропилового эфира в 1,6 раза в течение 42 часов (рисунок 10). После 40-50 часов рост культуры прекращался, что обусловлено недостатком в питательной среде источника углерода. При добавлении глутамата натрия рост культуры возобновлялся.
Аналогичная тенденция выявлена и для изобутилового эфира (рисунок 11 и 12).
| оптическая плотность, отн.ед. | |