Скорость образования, расходования компонента и скорость реакции
(21)
где С0 - начальная концентрация исходного вещества;
С - концентрация исходного вещества в момент времени г,
τ- время от начала реакции.
Константу скорости К3 определяют экспериментально. При этом используют уравнение (21) в виде:
В системе координат (
) это уравнение представляет прямую линию, угловой коэффициент которой (тангенс угла наклона) равен 2К3 (рисунок 4).
Рисунок 4 - Графическое определение константы скорости реакции третьего порядка
Константа скорости реакции 3го порядка имеет размерность: К3, [1/время конц.2].
Если для реакции третьего порядка использовать величину х, то уравнение для скорости реакции приобретет вид:
После разделения переменных и интегрирования уравнения в пределах от 0 до х и от 0 до τ можно получить выражение для константы скорости реакции
Существуют реакции, в которых скорость процесса не зависит от концентрации, так как она определяется некоторыми другими лимитирующими факторами, например, поглощением света при фотохимических реакциях или скоростью диффузии при поверхностных реакциях. Такие реакции считаются реакциями нулевого порядка. Для них
тогда
Размерность константы скорости реакции нулевого порядка К0, [время-1 конц.].
1.5 Способы определения порядка реакции и константы скорости
1.5.1 Способ избыточных концентраций
Для реакции
v1А1 + v2A2→Продукты (22)
зависимость скорости от концентрации исходных веществ записывается уравнением:
(23)
где С1 и С2 - концентрации исходных веществ А1 и А2;
п1 и п2 - порядки реакции по веществам А1 и А2;
К - константа скорости реакции. Общий (суммарный) порядок реакции равен:
п = п1 + п2 (24)
Если реакция элементарная и формально простая и подчиняется кинетическому уравнению для элементарных реакций, то порядок реакции по веществам А1 и А2 равен их стехиометрическим коэффициентам в уравнении реакции, то есть
п1=v1 и п2=v2
тогда п = v1+ v2
Для определения порядка химической реакции сначала, по экспериментальным результатам изменения концентрации исходных веществ со временем, находят порядки реакции по веществам. Затем общий порядок реакции.
Для того чтобы скорость реакции зависела в явном виде только от концентрации одного из исходных веществ, обычно используют способ избыточных концентраций или метод изолирования Оствальда.
Он заключается в следующем.
Сначала проводят реакцию, когда концентрация исходного вещества А2 избыточна по сравнению с веществом А1. При протекании реакции считают, что меняется только концентрация вещества А1 (обычно она в 10 .1000 раз меньше концентрации остальных веществ), а концентрация вещества А2 практически постоянна и её можно ввести в постоянный коэффициент. При этом уравнение (23) примет вид:
(25)
где
- константа скорости реакции по веществу А1.
Затем проводят реакцию при избытке вещества А1 по сравнению с веществом А2. Тогда уравнение (23) преобразуется к виду:
(26)
где
- константа скорости реакции по веществу А2.
Если удастся определить величины п1 и п2 , то можно будет найти общий порядок реакции по формуле (24) и константы скорости К1 и К2 , а затем константу скорости реакции по формуле:
Иногда при проведении опытов используют метод, в котором концентрацию одного из исходных веществ изменяют, а концентрацию другого вещества оставляют постоянной.
Способы расчета порядка реакции по данному веществу подразделяются на дифференциальные и интегральные. Рассмотрим некоторые из них.
1.5.2 Дифференциальный метод (метод Вант-Гоффа)
При расчетах этим способом используют опытные данные зависимости скорости реакции от времени (кинетическое уравнение):
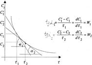
Из опытов, как правило, получают зависимость концентрацииданного компонента от времени (кинетическую кривую) Ci= f(τi) .
Поэтому для определения скорости реакции строят график в координатах
Ci- τi (рисунок 5). Скорость реакции в заданные моментывремени τi находят проведением касательных к экспериментальной кривойпо величине тангенса угла наклона этих касательных (графическимдифференцированием):
По уравнению (25) находят К1, п1 или К2, п2 по уравнению (26).
Рисунок 5 - Графическое определение скорости реакции по кинетической кривой
В данном случае можно использовать так называемый способ логарифмирования.
Рассмотрим сначала исходные формулы.
Пусть зависимость скорости реакции (22) по первому исходному веществу А1 выражается уравнением (при условии, что остальные вещества в избытке):
где п1 - порядок реакции по первому веществу.
Прологарифмируем полученное выражение:
(28)
Так как скорость реакции по исходному веществу является отрицательной величиной, то значение
положительно. На графике в координатах
опытные точки для разных моментов времени, в случае справедливости уравнения (28) должны расположиться на прямой линии (рисунок 6). Отрезок на оси ординат дает значение lnК1, а тангенс угла наклона а прямой линии равен порядку п1 по первому веществу.
Рисунок 6 - Графическое определение порядка реакции по веществу
Скорость изменения концентрации вещества определяется непосредственно из эксперимента или из кинетической кривой (рисунок 5).
Есть и другие дифференциальные способы. Их достоинство -простота. Недостаток - большая погрешность в определении tga из
графика. Более точные результаты дают интегральные способы.
1.5.3 Интегральные способы
