Современное содержание термина активация
План.
1. Современное содержание термина «активация»
2. Теория Вернера
2. Координационная связь (Теория Льюиса. Правило эффективног атомного номера ЭАН (Правило Сиджвика). Электронная структура атома)
3. Номенклатура комплексов
4. Классификация комплексов
4.1 Моноядерные и полиядерные комплексы.
4.2. Нейтральные, анионные и катионные комплексы.
4.3. Координационное число КЧ (т.е. количеству координированных лигандов).
4.4. Форма координационного полиэдра комплексов.
4.5. Классификация комплексов по химической специфике лигандов.
4.6. Классификация комплексов по специфике электронной конфигурации лигандов
Все теории катализа старались ответить на следующие вопросы:
1. Каким образом катализатор меняет реакционную способность реагентов, обеспечивая их превращение в нужном направлении?
2. Как найти катализатор для желаемой реакции?
Ответ на второй вопрос связан с ответом на первый. Современный взгляд на проблему активации имеет в основе химический подход, учитывающий особенности гетерогенного катализа: влияние носителя (коллективные свойства), особенности образования и превращения промежуточных соединений на поверхности гетерогенного катализатора, диффузия адсорбированных молекул в подповерхностные слои катализатора, изменение катализатора под воздействием реакционной среды (реагенты, продукты) и т. д
Первым четко сформулировал идею «оптимального» взаимодействия между реагентами и катализатором Пьер Сабатье в кн. «Катализ в органической химии». Энергия образования интермедиата должна быть не слишком мала и не слишком велика. Если реакция образования интермедиата эндотермична, а энтропия в реакции его образования понижается, то концентрация интермедиата будет очень мала, а следовательно, скорость стадии его превращения будет низка из-за низкой концентрации. Если образование интермедиата будет очень выгодно, то его концентрация будет велика, скорость его дальнейшего превращения также будет низка из-за низкой реакционной способности, поскольку он очень прочный. И энергия активации стадии его превращения будет велика.
Т.к. любой интермедиат в каталитическом процессе – это частица, в которой субстрат связан с активным центром катализатора, то фактически мы имеем дело с промежуточно образующимся координационным соединением. Такому соединению присущи все основные свойства, характеризующие обычные координационные соединения. И поэтому о прочности связи катализатор-субстрат, и об активации субстрата можно судить с тех же позиций, которые применяются в координационной химии для связи металл-лиганд, для характеристики изменений свойств лиганда (т.е. его активации).
Основные понятия координационной химии
В основе современных представлении о природе комплексов лежит координационная теория Вернера (1893 г.). Основные положения теории А. Вернер вывел, рассматривая соединения, которые либо являются аддуктами солей с нейтральными молекулами, либо двойными солями:
Видно, что в таких соединениях число нейтральных молекул, присоединяющихся к соли металла, чаще всего равно 4 или 6. Из рассмотрения этих рядов Вернер вывел следующие положения:
1. Большинство элементов проявляют два типа валентности:
(а) - главную валентность и (б) - побочную валентность. В современной терминологии (а) соответствует степени окисления и (б) – координационному числу.
2. Каждый элемент стремится насытить как главную, так и побочную валентности.
3. Побочная валентность направлена к точно фиксированным положениям в пространстве.
Итак, в координационной химии мы имеем дело с металлом-комплексообразователем (или группой металлов – это уже кластерная химия). Атомы, окружающие металл-комплексообразователь, называются лигандами. Лиганды, связанные с комплексообразователем, образуют внутреннюю координационную сферу комплекса (эта часть молекулы записывают в квадратных скобках). Все остальное в комплексном соединении представляет собой внешнюю координационную сферу (записывают за квадратными скобками).
Примеры: в [Co(NH3)6]Cl3, K2[PtCl4] и т.д.
Важно отметить: комплексы не теряют своих свойств при переходе из одной фазы в другую, например, при растворении соединения внутренняя координационная сфера остается без изменений.
КООРДИНАЦИОННАЯ СВЯЗЬ
Природу координационной связи рассматривают, исходя из теории Льюиса о двухэлектронной связи.
1. Двухэлектронная связь
1916 г., Льюис постулировал: Связь между двумя атомами А и В осуществляется в результате совместного обладания парой электронов.
Если каждый атом отдает в общее пользование 1 электрон, эта связь называется ковалентной связью.
Если связь осуществляется также парой электронов, но при этом пару электронов поставляет один атом (донор), а второй атом (акцептор) принимает эту пару на свободную орбиталь, то такая связь называется координационной.
Льюис ввел понятие кислот и оснований в зависимости от способности вещества принимать или отдавать пару электронов.
Кислотами называют вещества, молекулы которых способны принимать электронные пары, а основаниями – вещества, способные их отдавать. В результате кислотно-основной реакции происходит образование координационных связей и координационного соединения:
А + :В → А:В
Кислота Основание Координационное
(акцептор) (донор) соединение
В соответствии с кислотно-основной теорией Льюиса к кислотам относятся ионы металлов, а также такие соединения, как BF3, AlCl3, SO3 и SiF4, которые могут принимать электронные пары.
Лиганды отдают свои электронные пары в общее пользование с металлами и, таким образом, по Льюису сами являются основаниями.
Примеры:
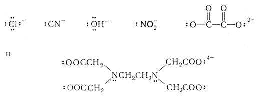
Молекулы :
Ионы:
Из картинок ясно, что en и EDTA способны реагировать как соответственно бидентатный и гексадентатный лиганды. Атом, содержащий более одной неподеленной пары электронов, может служить мостиковым лигандом:
ПРАВИЛО ЭФФЕКТИВНОГО АТОМНОГО НОМЕРА ЭАН
(ПРАВИЛО СИДЖВИКА)
Правило: В комплексных соединениях центральный атом металла будет окружать себя таким числом лигандов, что общее число электронов в атоме металла будет таким же, как и в атоме ближайшего инертного газа. Число электронов в атоме металла-комплексообразователя называют эффективным атомным номером (ЭАН).
Пример: ЭАН для Co(III) в [Co(NH3)6]3+ равен:
Co - атомный номер 27, имеет 27 электронов
Co(III): 27-3 = 24; 6(:NH3) 2x6 = 12; 24+12 = 36 (ЭАН для Co(III) в [Co(NH3)6]3+
Другая трактовка: В комплексных соединениях центральный атом металла будет окружать себя таким числом лигандов, чтобы число электронов во внешней электронной оболочке было равно 18.
