Технология получения и свойства мочевино-формальдегидных смол
2СН2О + NaOH
CH3OH + HCOONa
По этой причине сначала получают метилольные производные мочевины, поддерживая нейтральную или слабощелочную среду (рН 7–8), а затем, не выделяя метилолмочевины из раствора, в слабокислой среде (рН 3–6,5) осуществляют их поликонденсацию. Слабокислая среда предотвращает чрезмерное нарастание вязкости смолы и преждевременное гелеобразование (особенно на стадии сушки). Для регулирования рН среды используют буферные вещества (ацетат натрия и его смесь с лимонной кислотой, карбонат аммония и другие), а также уротропин. При нагревании мочевины и формальдегида в присутствии последнего раствор с течением времени приобретает ту кислотность, которую он имел до прибавления уротропина. По-видимому, уротропин образует с муравьиной кислотой буферные соли, разрушающиеся при нагревании. Проведение реакции в водных средах препятствует отщеплению воды от метилолмочевин, что предотвращает их переход в метиленмочевины.
3 Технология производства
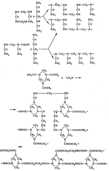
Механизм образования мочевино-формальдегидных смол сложен. Всегда в качестве начального продукта образуется моно- и диметилолмочевина, которые при дальнейшей поликонденсации в слабокислой среде дают линейные полимеры.
Суммарно реакцию можно представить так:
СН2О+nCO(NH2)2
+(n+1)H2O
Технологический процесс производства мочевино-формальдегидной смолы осуществляется жидкофазным непрерывным методом и состоит из следующих основных стадий: подготовка сырья; приготовление реакционного раствора; конденсация в щелочной и кислой средах; нейтрализация и сушка смолы; доконденсация смолы с мочевиной; охлаждение, стабилизация и стандартизация смолы.
1, 13 — мерники едкого натра, 2 — теплообменник для формалина, 3—смеситель, 4—зубчатая дробилка, 5—емкость, 6, 11—циркуляционные насосы, 7 — первый реактор, 8 — холодильник, 9—второй реактор, 10—мерник кислоты, 12—выпарной аппарат(а—кипятильник, б—сепаратор), 14—сборник смолы, 15—реактор.
В смеситель 3 подаются 2%-ный раствор едкого натра из мерника 1 и формалин из прицеховой ёмкости. Формалин может охлаждаться в теплообменнике 2. Едкий натр загружается из расчёта получения в растворе рН 4,8 – 6,5. Мочевина измельчается на зубчатой дробилке 4 и подаётся в ёмкость 5, через которую прокачивается смесь формалина с едким натром из смесителя 3 циркуляционным насосом 6. Циркуляция ведётся до полного растворения мочевины, после чего определяется рН раствора, которая должна быть в пределах 7,5 – 8,5. Коэффициент рефракции должен быть 1,409 – 1,412. В реакционной смеси поддерживается температура 20 – 35 °C за счёт подачи воды или пара в змеевики смесителя 3.
Каждый агрегат для получения смолы имеет два смесителя: в одном готовится конденсационный раствор, а из другого раствор непрерывно расходуется.
Из смесителя 3 конденсационный раствор непрерывно подаётся в реактор 7 со скоростью, зависящей от производительности агрегата. Реактор снабжён рубашкой для нагрева и охлаждения, якорной мешалкой и холодильником 8. В реакторе 7 проводится конденсация в щелочной среде при 90 – 98 °C и непрерывном перемешивании. Пары конденсируются в холодильнике 8 и стекают обратно в реактор. При конденсации рН раствора снижается до 6,0 – 7,0. В начальной стадии процесса в нейтральной или слабощелочной среде образуется смесь моно- и диметилолмочевин, растворимых в воде. При дальнейшем нагреве происходит поликонденсация метилолмочевин, в результате образуется линейный полимер с метиленовыми связями и выделяется вода.
Из реактора 7 реакционный раствор непрерывно перетекает в реактор 9, в который также непрерывно поступает из мерника 10 серная кислота (0,5 – 1,0%-ный раствор). В реакторе поддерживается рН смеси 5,0 – 5,4 и температура 94 – 98
. Поликонденсация при непрерывном перемешивании продолжается до достижения вязкости смолы 14 – 15 по вискозиметру ВЗ-1. Образовавшиеся пары конденсируются в холодильнике 8 и стекают обратно в реактор 9.
Сконденсировавшаяся смола подаётся непрерывно из реактора 9 циркуляционным насосом 11 в выпарной аппарат 12, состоящий из кипятильника кожухотрубного а и сепаратора б. Для нейтрализации смолы и поддержания рН в пределах 7,0 – 8,0 в насос из мерника 13 непрерывно поступает 2%-ный раствор едкого натра. Кипятильник представляет собой трубчатый теплообменник, в трубках которого циркулирует смола, а в межтрубном пространстве – пар давлением 4 кгс/см2. Сепаратор – цилиндрический аппарат с коническим днищем и крышкой.
Сушка смолы проводится при рН 7,0 – 7,8, температуре 96 – 100
до достижения вязкости от 50 – 60 до 110 – 120 (по вискозиметру ВЗ-1). Пары, получаемые при сушке смолы, поступают в воздушный холодильник, конденсируются; надсмольная вода собирается в ёмкость, откуда перекачивается для дальнейшей обработки (выделения метанола и очистки воды от остатков формальдегида).
Упаренная смола поступает из сепаратора в сборник 14, в который подаётся 2%-ный раствор едкого натра для поддержания рН смолы в пределах 7,0 – 8,0. Из сборника 14 смола подаётся в реактор 15, в который поступает расчётное количество 64 – 67%-ного водного раствора мочевины, и при 60 – 85
происходит доконденсация смолы до достижения содержания формальдегида ниже 1,2%.
Из реактора 15 смола перекачивается в стандартизатор, где она стабилизируется 25%-ной аммиачной водой для повышения рН до 7,5–9,0 и увеличения жизнеспособности, и стандартизируется в результате перемешивания.
Из стандартизатора смола перекачивается насосами в складские ёмкости, из которых она поступает в железнодорожные цистерны и бочки.
4 Свойства мочевино-формальдегидных смол
Мочевино-формальдегидные смолы – твёрдые продукты белого цвета, легко растворимые в воде и нерастворимые в неорганических растворителях. Отверждение мочевино-формальдегидных смол ускоряется в присутствии кислотных катализаторов и с повышением температуры. В качестве катализаторов используют как органические (щавелевая, фталевая), так и минеральные (фосфорная, соляная) кислоты и некоторые соли (AlCl3, ZnCl2). Продукты отверждения – бесцветные, светостойкие, легко окрашивающиеся полимеры. Смолы, отверждённые при низких температурах даже в присутствии больших количеств катализатора, имеют пониженную водостойкость. При повышении температуры отверждения водостойкость возрастает. Однако продукты, полученные в оптимальном режиме (120 – 140
, катализатор), всё же частично разлагаются под действием горячей воды или водных растворов солей. Это обусловлено недостаточной разветвлённостью цепей и малым количеством поперечных связей, о чём свидетельствует низкое коксовое число продуктов отверждения (14 – 21,5%) и их быстрая деструкция при нагревании без доступа воздуха.
