Химия поверхностно-активных веществ
Гидрофобная часть молекулы ПАВ может быть линейной или разветвленной. Полярная группа, как правило, но не всегда присоединена к концу алкильной цепи, которая содержит обычно от 8 до 18 атомов углерода. Степень разветвления цепи, положение полярной группы и длина цепи — важнейшие параметры, определяющие физико-химические свойства ПАВ.
Полярная группа ПАВ может быть ионогенной или неионогенной, что в значительной мере определяет свойства ПАВ. Это позволяет классифицировать ПАВ на ионные и неионные. Размер полярной группы неионного ПАВ может варьироваться в широких пределах. У ионных ПАВ размер полярной группы более или менее постоянен. Следует подчеркнуть, что физико-химические свойства ПАВ в растворе определяются соотношением размеров гидрофобной и полярной групп, а не их абсолютными размерами.
Рис. 1. Схематическое изображение молекулы поверхностно-активного вещества
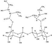
Обычно ПАВ содержит только одну полярную группу. Недавно возник заметный интерес к димерным ПАВ, содержащим два гидрофобных хвоста и две полярные группы, соединенные коротким мостиком. Такие вещества пока не нашли практического применения, однако они обладают интересными физико-химическими свойствами. Эти ПАВ эффективно снижают поверхностное натяжение и имеют очень низкие значения ККМ. Для сравнения: ККМ обычного катионного ПАВ — бромида додецилтриметиламмония — равна 16 мМ, а ККМ соответствующего димерного ПАВ с двумя атомами углерода в мостике, соединяющем мономеры, составляет 0,9 мМ. Различие в величинах ККМ обычных и димерных ПАВ может иметь большое практическое значение. Типичный пример димерного ПАВ показан на рис. 2.
Рис. 2. Димерное ПАВ
Малоэффективные поверхностно-активные вещества, способные адсорбироваться на поверхности, но не образующие мицеллы, используются в качестве добавок во многие композиции ПАВ. Такие ПАВ относят к гидротропным веществам, они разрушают упорядоченную упаковку обычных ПАВ. Например, введение гидротропного вещества может предотвратить образование высоковязких жидкокристаллических фаз, возникновение которых часто создает существенные трудности при составлении композиций ПАВ. Ксилолсульфонат и кумол-сульфонат — типичные представители гидротропных веществ, используемых в составе композиций многих моющих средств. Алкилфосфаты с короткими цепочками широко применяются в качестве гидротропов в композициях на основе длинноцепочечных этоксилированных спиртов.
Природные ПАВ
К ПАВ природного происхождения прежде всего относятся полярные липиды. Они широко распространены в живых организмах. В биологических системах поверхностно-активные вещества выполняют по сути те же функции, что и синтетические ПАВ в технических системах.
Так, например, они помогают организму преодолеть проблему растворимости малорастворимых веществ, являются эмульгаторами и диспергаторами, а также модификаторами поверхности и т. д. Можно привести много интересных примеров, характеризующих роль ПАВ в биологических системах. Так, соли желчных кислот являются чрезвычайно эффективными солюбилизаторами гидрофобных компонентов крови смеси
Рис. 3. Примеры полярных липидов
фосфолипидов упаковываются в упорядоченные бислои по типу жидких кристаллов ПАВ и из таких структур состоят клеточные мембраны. На рис. 3 приведены примеры наиболее распространенных полярных липидов. Ярким примером природного ПАВ, которое непосредственно, без химических процедур, получают из природных источников, является лецитин. Лецитин экстрагируется из источников, богатых фосфолипидами
Некоторые микроорганизмы эффективно продуцируют природные ПАВ. Можно получать с хорошими выходами как высокомолекулярные поверхностно-активные компоненты, например липополисахариды, так и низкомолекулярные полярные липиды, особенно если микроорганизмы культивируются на водонерастворимом субстрате. На рис. 4 приведена структура низкомолекулярного ацилированного углевода — гликолипида на основе трегалозы, высокая поверхностная активность которого уже доказана. Такие производные и некоторые другие поверхностно-активные вещества, производимые дрожжами, с недавнего времени вызывают большой интерес. Уже потрачено немало усилий на улучшение существующих процессов ферментации и на разработку новых способов культивирования микроорганизмов. Несмотря на достигнутый прогресс, коммерческое использование подобных ПАВ все еще ограниченно из-за их высокой стоимости.
Рис. 4. Поверхностно-активный гликолипид на основе трегалозы, получаемый в процессе ферментации
Нефтехимия и химия растительных масел как источники сырья для получения ПАВ
В последние годы наблюдается тенденция к использованию «зеленых» ПАВ, особенно в быту. Термин «природное ПАВ» служит указанием на природный источник вещества. Однако ни одно ПАВ, используемое сегодня в значительных объемах, нельзя считать природным в полном смысле. За небольшим исключением все ПАВ производятся в процессе органического синтеза, причем нередко в очень жестких условиях, когда неминуемо образуются побочные продукты. Например, моноглицериды широко распространены в природе, но ПАВ, поступающие на рынок как моноглицериды, получают в процессе промышленного гидролиза триглицеридных масел при температурах выше 200 °С, что приводит к образованию побочных продуктов — ди- и трипроизводных глицерина. Ал-килглюкозиды чрезвычайно распространены в живых организмах, но ПАВ этого класса, часто называемые АПГ, получают с помощью многостадийных химических процессов, и их, без сомнения, нельзя считать природными.
Чтобы правильно оценить происхождение ПАВ, полезно разделить их на два класса в зависимости от сырья, из которого их получают: олеохимические и нефтехимические ПАВ. Олеохимические ПАВ производят из возобновляемого сырья, обычно из растительных масел. Нефтехимические ПАВ производятся из небольших «строительных блоков», таких как этилен, получаемый при крекинге нефти. Часто сырьем для ПАВ одновременно служат растительные масла и продукты нефтехимии. Этоксилированные жирные кислоты — один из многочисленных тому примеров.
Иногда олеохимические и нефтехимические способы переработки приводят к получению идентичных продуктов. Например, нормальные спирты с углеводородными радикалами С10-С14, обычно используемые для введения гидрофобных групп при синтезе неионных ПАВ и анионных ПАВ, получают либо гидрированием метиловых эфиров соответствующих жирных кислот, либо по реакции полимеризации этилена с триэтилалюминием в качестве катализатора. В обоих случаях получают неразветвленные алифатические спирты, мало различающиеся по составу гомологов, поскольку он определяется процессом дистилляции. Оба способа производства широко распространены.
Производство ПАВ с использованием в качестве сырья растительных масел не всегда обеспечивает получение менее токсичных и менее экологически вредных ПАВ, чем нефтехимические производства. Однако с учетом круговорота углекислого газа химическое производство, основанное на возобновляемом сырье, всегда более предпочтительно.
