Хитин-глюкановый комплекс грибного происхождения. Состав, свойства, модификации
Введение.
Биополимеры хитин и хитозан обратили на себя внимание ученых почти 200 лет назад. Хитин был открыт в 1811 г. (Н. Braconnot, A. Odier), а хитозан в 1859 году (С. Rouget), хотя свое нынешнее название получил в 1894 г В первой половине XX века к хитину и его производным был проявлен заслуженный интерес, в частности, три Нобелевских лауреата: F. Fischer (1903) синтезировал глюкозамин, P. Karrer (1929) провел деградацию хитина с помощью хитиназ, a W. H. Haworth (1939) установил абсолютную конфигурацию глюкозамина.
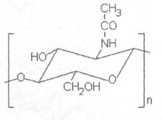
Хитин - линейный аминополисахарид, состоящий из N-Ацетил-2-амино-2-дезокси-О-гликопиранозных звеньев.
По химической структуре хитин близок к целлюлозе и только ей уступает по распространенности в природе. Хитин нерастворим в воде, разбавленных кислотах, щелочах, спиртах и других органических растворителях. Он растворим в концентрированных растворах соляной, серной и муравьиной кислот, а также в некоторых солевых растворах при нагревании, но при растворении он заметно деполимеризуется. В смеси диметилацетамида, N-метил-2-пирролидона и хлористого лития хитин растворяется без разрушения полимерной структуры.
Хитин как неразветвленный полисахарид с β-(1-4)-гликозидными связями, образует фибриллярные структуры, для которых характерна линейная конформация молекул, закрепленная водородными связями.
Подобные молекулы, располагаясь приблизительно параллельными пучками, образуют структуры, регулярные в трех измерениях, что характерно для кристаллов. Так, посредством рентгеноструктурного анализа показано, что молекулярные звенья хитина имеют конформацию 4C1
В зависимости от расположения полимерных молекул различают три формы структуры хитина - α, β и γ. α -хитин представляет собой плотно упакованный, наиболее кристаллический полимер, в котором цепочки располагаются антипараллельно, он характеризуется самым стабильным состоянием. В β -хитине цепочки располагаются параллельно друг другу, а в γ-хитине две цепочки полимера направлены "вверх" относительно одной, направленной "вниз". β и γ -хитины могут превращаться в α -хитин. В организмах насекомых и ракообразных, клетках грибов и диатомовых водорослей хитин в комплексе с минеральными веществами, белками и меланинами образует внешний скелет и внутренние опорные структуры. Потенциальные источники хитина многообразны и широко распространены в природе. Общая репродукция хитина в мировом океане оценивается 2,3 млрд. т. В год, что может обеспечить мировой потенциал производства 150-200 тыс. т. хитина в год.
Наиболее доступным для промышленного освоения и масштабным источником получения хитина являются панцири промысловых ракообразных. Возможно также использование гладиуса кальмаров, сепиона каракатицы, биомассы мицелярных и высших грибов.
Хитин-глюкановый комплекс.
В клеточной стенке (КС) грибов хитин находится не в свободном состоянии, а связан ионными или водородными связями с полисахаридами, липидами, белками и микроэлементами, причем эти комплексы, например, хитин-глюкановый комплекс (ХГК) или в мукоране низших грибов, связанные с белком, являются более прочными и специфичными, чем природные белковые комлексы хитина в кутикуле беспозвоночных [1].
Хитин грибов находит пока ограниченное практическое использование по сравнению с хитином ракообразных. Последний давно уже применяется в разных областях хозяйственной деятельности человека, а в настоящее время наиболее интенсивно в технологии готовых лекарственных средств в качестве биологически активных веществ и вспомогательных материалов. Но именно в этой отрасли хитин грибов может стать активным конкурентом хитину Arthropoda.
Объяснить этот факт можно следующими причинами. Во-первых, открытием ценных лекарственных свойств биополимеров клеточной стенки грибов, а именно структурных полисахаридов и белков. Особый интерес в этой области представляет японский гриб Lentinus edodes, содержащий в шляпке и ножке 4- и 5% хитина соответственно. Особые лечебные свойства гриба связывают с наличием глюканов и особенно полиаминосахаридов, в том числе хитина. Указанные выше соединения обладают выраженной антираковой активностью и полученный в Японии на основе этих соединений препарат "Лентинан" используется для лечения онкозаболеваний. В настоящее время установлено, что и другие высшие грибы (Neomycota), также принадлежащие к семействам Polyporaceae, Tricholomotaceae, Agaricales, также содержат в КС высокомолекулярный гетерогликан и полиаминосахариды, обладающие выраженной антираковой активностью.
Во-вторых, к настоящему времени установлено наличие ранозаживляющей активности мицелия хитина низших грибов (Eomycota), в частности мукоровых грибов. Сейчас в России имеется только один (разрешенный Минздравом в 1996 г.) препарат "Микоран", созданный на основе хитина мукорового гриба Blakeslea trispora. "Микоран" рекомендован к использованию как ранозаживляющее средство с целевым противоожоговым назначением. Работы по изучению ранозаживляющего действия мицелия низших грибов ведутся в настоящее время в Австралии и Великобритании, однако, в этих исследованиях используется другой продуцент Mucorales - Phycomyces blakesleeanus.
Благоприятный эффект мицелия низших грибов на заживление ран объясняют способностью стимулировать активность пролиферации фибробластов, которые располагаются на микрофибриллах хитина. Кроме того, активному заживлению ран способствует также свойство хитина грибов генерировать микроколичества перекиси водорода. В зарубежных работах предлагается даже накладывать на раны в целях экономии стерильный, лиофильно высушенный мицелий, не выделяя полиаминосахариды. Предполагается, что использование мицелия Mucorales обеспечит одновременно и защиту от опасного микроорганизма, способствующего нагноению ран - синегнойной палочки.
На основе ХГК высших грибов (Basidiomycetes) создан новый препарат, состоящий из хитина, глюкана и меланина. Этот препарат, названный "Микотоном", предложено использовать для лечения ряда заболеваний, вызываемых бактериями и вирусами.
Особый интерес ХГК вызывает как аналог пищевых волокон. Эти волокна сорбируют в желудочно-кишечном тракте канцерогенный вещества, ионы тяжелых и радиоактивных металлов, активируют деятельность желудка. В последние годы пищевым волокнам придается особое значение в профилактической медицине в связи с их возможным антиканцерогенным и антимутагенным эффектами.
Полиаминосахариды находят в последние годы все большее применение в сельском хозяйстве. Это обусловлено такими их свойствами, как биосовместимость, отсутствие токсичности, высокая потребность к комплексообразованию. Препараты на основе хитина и хитозана крабов, а в последние годы и ХГК грибов применяют в сельском хозяйстве в США, Японии, Канаде. Ими проводят предпосевную обработку семян, что увеличивает урожайность сельскохозяйственных культур и устойчивость к грибковым заболеваниям. Показано, что устойчивость к корневой гнили и головне у ячменя значительно возрастает при применении препарата "Микосан", содержащего глюканы базидиомицетных грибов и хитозан.
