Частицы и коллектив. Неразличимость и симметрия Коррекция статистических сумм для трансляции и ротации.
Удобно термодинамические аргументы и определённые с их помощью функции состояния представить в виде единого массива взаимосвязанных переменных. Этот способ был предложен Гиббсом. Так, скажем, энтропия, которая по определению есть функция состояния, перемещается в разряд одной из двух естественных калорических переменных, дополняя в этом своём качестве температуру. И если в любых калорических процессах температура выглядит как интенсивная (силовая) переменная, то энтропия обретает статус экстенсивной переменной – тепловой координаты.
Этот массив всегда можно дополнить новыми функциями состояния или по необходимости уравнениями состояния, связывающими между собою аргументы. Число аргументов, минимально необходимое для исчерпывающего термодинамического описания системы, называется числом степеней свободы. Оно определяется из фундаментальных соображений термодинамики и может быть уменьшено благодаря различным уравнениям связи.
В таком едином массиве можно менять ролями аргументы и функции состояния. Этот приём широко используется в математике при построении обратных и неявных функций. Цель подобных логических и математических приёмов (достаточно тонких) одна – достижение максимальной компактности и стройности теоретической схемы.
Характеристические функции. Дифференциальные уравнения Массье
Массив переменных p, V, T удобно дополнить функцией состояния S. Между ними имеется два уравнения связи. Одно из них выражено в виде постулируемой взаимозависимости переменных f(p,V,T) =0. Говоря об "уравнении состояния", чаще всего именно эту зависимость имеют в виду. Однако любой функции состояния отвечает новое уравнение состояния. Энтропия по определению есть функция состояния, т.е. S=S(p,V,T). Стало быть, между четырьмя переменными существует две связи, и в качестве независимых термодинамических аргументов можно выделить всего два, т.е. для исчерпывающего термодинамического описания системы достаточно лишь двух степеней свободы. Если этот массив переменных дополнить новой функцией состояния, то наряду с новой переменной появляется и ещё одно уравнение связи, и, стало быть, число степеней свободы не увеличится.
Исторически первой из функций состояния была внутренняя энергия. Поэтому с её участием можно сформировать исходный массив переменных:
p, V, T, S, U
Массив уравнений связи в таком случае содержит функции вида
f(p,V,T) =0, 2) U=U(p,V,T), 3) S=S(p,V,T).
Эти величины можно менять ролями или формировать из них новые функции состояния, но в любом случае суть дела не изменится, и останутся две независимые переменные. Теоретическая схема не выйдет за пределы двух степеней свободы до тех пор, пока не встанет необходимость учесть новые физические эффекты и связанные с ними новые превращения энергии, и их окажется невозможно охарактеризовать без расширения круга аргументов и числа функций состояния. Тогда может измениться и число степеней свободы.
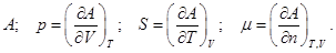
Состояние изотермической системы с неизменным объёмом целесообразно описывать посредством свободной энергии (функции Гельмгольца). В этих условиях она является характеристической функцией и изохорно-изотермическим потенциалом системы.
Посредством частного дифференцирования из неё далее можно извлечь прочие необходимые термодинамические характеристики, а именно:
(1)
Построить явный вид функции свободной энергии для некоторых относительно простых систем можно методом статистической термодинамики.
В любом естественно протекающем (самопроизвольном или свободном) процессе свободная энергия системы понижается. При достижении системой состояния термодинамического равновесия её свободная энергия достигает минимума и уже в равновесии далее сохраняет постоянное значение. Из равновесия систему можно вывести за счёт внешних сил, повышая её свободную энергию. Такой процесс уже не может быть свободным - он будет вынужденным.
Микроскопические движения частиц и в равновесии не прекращаются, и в системе, состоящей из огромного числа частиц и подсистем любой природы, возможно множество различных частных вариантов и комбинаций отдельных частей и внутри них, но все они не выводят систему из равновесия.
Термодинамическое равновесие в макросистеме совсем не означает, что и в её микроскопических фрагментах исчезают все виды движения. Напротив, равновесие обеспечивается динамикой именно этих микроскопических движений. Они-то осуществляют непрерывное выравнивание - сглаживание наблюдаемых макроскопических признаков и свойств, не допуская их выбросов и чрезмерных флуктуаций.
Основной целью статистического метода является установление количественной связи между характеристиками механических движений отдельных частиц, составляющих равновесный статистический коллектив, и усреднёнными свойствами этого коллектива, которые доступны для термодинамических измерений макроскопическими методами.
Цель состоит в том, чтобы на основании механических характеристик движений отдельных микроэлементов равновесного коллектива вывести количественные законы для термодинамических параметров системы.
Согласно методу Гиббса термодинамическая система это коллектив - совокупность очень большого числа элементов - однотипных подсистем.
Каждая подсистема в свою очередь может также состоять из очень большого числа иных ещё более мелких подсистем и в свою очередь может играть роль вполне самостоятельной системы.
Все естественные флуктуации внутри равновесной системы равновесия не нарушают, они совместимы с устойчивым макроскопическим состоянием огромного коллектива частиц. Они просто перераспределяют признаки отдельных элементов коллектива. Возникают разные микросостояния, и все они суть версии одного и того же наблюдаемого макросостояния.
Каждая отдельная комбинация состояний элементов коллектива порождает лишь одно из огромного множества возможных микросостояний макросистемы. Все они в физическом смысле равноценны, все приводят к одному и тому же набору измеримых физических параметров системы и отличаются лишь какими-то деталями распределения состояний между элементами …
Все микросостояния совместимы с макроскопическим - термодинамическим равновесием, и числовой разброс отдельных составляющих свободной энергии (её энергии и энтропии) является вполне обычным обстоятельством. Надо понимать, что разброс возникает за счёт непрерывного обмена энергией между частицами – элементами коллектива. У одних элементов она уменьшается, но при этом у других увеличивается.
Если система находится в термостате, то ещё непрерывно осуществляется обмен энергией и с окружающей средой. Происходит естественное энергетическое перемешивание коллектива, за счёт непрерывного обмена между микрочастицами коллектива. Равновесие постоянно поддерживается через тепловой контакт с внешним термостатом. Так в статистике чаще всего именуют окружающую среду.
Поступательная статистическая сумма (на 3 степени свободы) исправляется с учётом делокализации и неразличимости N частиц. Сумма состояний уже для коллектива образуется возведением молекулярной поступательной суммы состояний в степень N и результат уменьшается исключением всех идентичных ситуаций. Это достигается делением на число перестановок неразличимых частиц. Их N!. Это астрономически огромное число, и его вычисляют по приближённой формуле Стирлинга: N! =(2) 1/2(N/e) N "(N/e) N (см. пример в приложении в конце текста)
