Частицы и коллектив. Неразличимость и симметрия Коррекция статистических сумм для трансляции и ротации.
; (2)
Дальнейшие несложные преобразования приводят к исправлению поступательной суммы состояний.
; (3)
1) Вращательная статистическая сумма (на 2 степени свободы) должна быть исправлена с учётом симметрии и неразличимости состояний гомоядерной молекулы при её поворотах на 180o. Эта статистическая сумма сокращается на число симметрии . Для 2-х атомных гомоядерных молекул =2. Для вращения вокруг оси симметрии 3-го порядка =3. Частицы с осью симметрии более высокого порядка в газовой фазе встречаются уже крайне редко.
; (4)
2) Отсюда можно получить приближённое выражение для статистической суммы и на 1 вращательную степень свободы.
; (5)
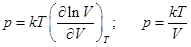
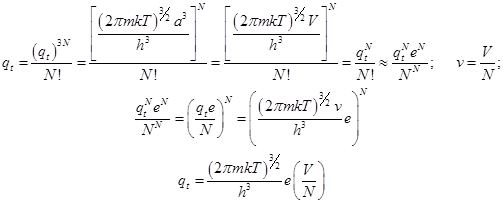
3) Поступательное движение единственное непосредственно зависит от пространственных характеристик системы, и поэтому в статистические расчёты объём встраивается именно через поступательную статистическую сумму. Она одна непосредственно включает в себя объём и число частиц коллектива, и лишь с нею связана такая важная термодинамическая характеристика, как давление.
Удобно представить её в нескольких формах, вводя дополнительные обозначения для сомножителей:
; (6)
Натуральный логарифм этой величины равен
; (7)
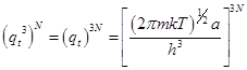
Если не затрагивать электронных и ядерных характеристик движения и ограничиться лишь его механическими формами, то у одноатомного газа поступательная статистическая сумма совпадает с его результирующей суммой состояний.
; (8)
; (9)
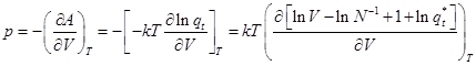
Частное дифференцирование функции ln qt оставляет выражение
; (10)
Последняя формула (10) хорошо известна уже из элементарной кинетической теории. Это уравнение состояния идеального газа, отнесённое к одной частице газа.
Давление – эффект коллективный и не следует понимать дело так, что удалось описать одну-единственную частицу. Речь идёт о "пробной - среднестатистической" частице. Как около всякого среднестатистического объекта изучения вокруг значений её механических параметров (импульса) существует разброс.
Переход от частицы к молю получается умножением результата слева на число Авогадро, и константа Больцмана заменяется универсальной газовой постоянной: R=kNA.
; (11)
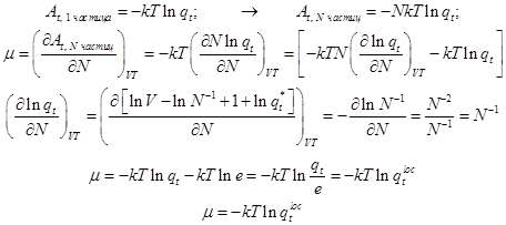
3.1) Отличие свободной энергии A от энергии Гиббса G вызвано также лишь поступательным движением. Энергия Гиббса, приходящаяся на одну частицу коллектива равна:
; (12)
; (13)
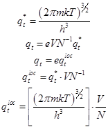
Выражение
отличается от статистической суммы поступательного движения тем, что в нём исчезло число e - основание натурального логарифма, словно бы частично было скомпенсировано одно из качеств делокализованной системы. Отсюда и верхний индекс loc этой немного изменённой поступательной суммы.
Умножая последнее выражение на число Авогадро, получаем мольный химический потенциал одноатомного газа.
3.2) Это же выражение получается и непосредственно частным дифференцированием мольной свободной энергии.
; (14)
Вывод в формулах (19.13) построен на мольной (коллективной) свободной энергии. Однако химический потенциал здесь также получен для одной частицы. Об этом говорит характер частного дифференицирования по числу частиц.
Учитывая остальные молекулярные движения, поступательную сумму состояний молекулы следует заменить полной молекулярной суммой, в которую вместе с поступательной суммой вклады дают и прочие движения.
; (15)
Разумеется, эту формулу можно представить разными способами, в том числе, и в аддитивном виде как сумму вкладов отдельных движений.
4) Все приведённые окончательные формулы и величины (включая объём) пока что были отнесены к одной частице. Переход к коллективу частиц потребовался в тех двух случаях, где необходим явный учёт свойств коллектива. Во-первых, это было сделано при учёте неразличимости частиц в объёме вследствие поступательного движения. Во-вторых, при альтернативном выводе (3.2) химического потенциала из свободной энергии.
Во всех прочих случаях мы имели дело со свойствами одной пробной частицы – статистического элемента коллектива-системы.
5) Стандартная поступательная сумма и стандартный химический потенциал.
Принятая в термодинамике стандартизация состояний связана с давлением и скажется только на поступательной сумме состояний, поскольку лишь в ней представлен объём, и, следовательно, лишь она связана с давлением.
Её стандартное значение при некоторой температуре T получается при p=po =1 атм = 101325 Па.
Стандартный объём зависит от температуры:
Vo=RT/p o; (16)
Подставляя его в формулу (19.3) получаем выражение для стандартной поступательной суммы состояний.
; (17)
Отсюда легко получается формула стандартного химического потенциала
; (18)
Эти формулы играют основную роль в расчётах константы химических равновесий статистическим методом
6) Молекулярная сумма состояний.
Результирующая молекулярная сумма состояний образуется из молекулярных поступательной, вращательной, колебательной, электронной и ядерной сумм.
; (19)
Поступательных степеней свободы движения у частицы всего три, и свойства этого вида движения отражены в поступательной сумме состояний. Вращательных и колебательных степеней свободы в многоатомной молекуле уже несколько. Вращения могут быть как молекулы в целом, так и связанные со взаимной подвижностью её отдельных структурных фрагментов.
Каждой степени свободы отвечает своя собственная сумма состояний.
Результирующие статистические суммы видов движений являются произведением статистических сумм по всем степеням свободы данного вида движения.
; (20)
Мольные суммы состояний отличаются от молекулярных сумм степенью NA.
Мольные термодинамические функции получаются умножением молекулярных величин для пробной частицы на NA.
В нашем курсе мы не располагаем возможностью для применения расчётов для сложных многоатомных молекул, и потому эту тему далее не обсуждаем.
