Анализ и управление основным капиталом предприятия на примере ООО Строй
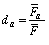
Где Nр - объём реализации (в промышленности - произведённой продукции, включая незавершённое производство);
- средняя за период стоимость основных средств.
Этот показатель отражает количество реализованных товаров (выпущенной продукции) на единицу стоимости основного капитала или какой объём товарооборота (выпущенной продукции) предприятие имеет от использования единицы стоимости основных средств. При его расчёте из общей стоимости основных средств желательно исключить стоимость переданных в аренду объектов по данным раздела 3 формы № 5 "Приложение к бухгалтерскому балансу". Такое исключение связано с тем, что переданные в аренду основные средства не участвуют в реализации товаров.
Увеличение фондоотдачи означает рост эффективности использования объектов и наоборот.
Фондоотдача всех основных средств зависит от отдачи активной их части и её удельного веса в общей стоимости основного капитала. В анализе можно определить влияние на фондоотдачу названных факторов с помощью следующей модели:
, (3)
где
- средняя за период величина активной части основных фондов.
Значение удельного веса активной части основных фондов рассчитывают отношением:
; (4)
следовательно
. (5)
Фондоотдача является прямой величиной уровня использования капитала. Фондоёмкость - обратный фондоотдаче показатель:
(6)
Этот показатель отражает величину основного капитала, приходящегося на единицу продаж (объёма выпущенной продукции в промышленности), т. е. производственную мощность за соответствующий период. Его ещё называют коэффициентом закрепления основных средств.
Как и при определении фондоотдачи, в расчёте фондоёмкости стоимость основных средств желательно уменьшить на величину переданных в аренду объектов. При расчёте фондоёмкости на конец и на начало одного периода допускается вместо средних данных использовать моментные показатели.
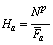
Материально-техническую базу предприятия также оценивают показателями фондовооружённости и фондооснащённости.
Фондовооружённость находят отношением среднегодовой стоимости активной части основных средств на среднюю численность оперативного персонала торговых предприятий (продавцы, кассиры-контролеры, заведующие секциями, администраторы торгового зала) или работников основного производства.
Фондооснащённость определяется делением среднегодовой стоимости всех основных фондов на общую среднесписочную численность работников.
Фондовооружённость и фондооснащённость показывают, какой величиной стоимости основных средств располагает в процессе товарообращения (производства) один работник соответствующей группы персонала в среднем.
Эффективность использования основных фондов определяют также отношением одного из показателей прибыли предприятия (прибыль от реализации, прибыль от финансово-хозяйственной деятельности, валовая прибыль, чистая прибыль к средней за год стоимости основных фондов. Этот показатель называют рентабельностью основного капитала. Он отражает величину прибыли, получаемую от использования единицы стоимости основного капитала.
Если рентабельность определяют по показателю прибыли от реализации, то из стоимости основных средств желательно исключить стоимость переданных в аренду объектов, отражённых в разделе 3 формы № 5 "Приложение к балансу".
Кроме приведённых выше обобщающих показателей использования основных средств (фондоотдача, фондоёмкость, амортизациёмкость, фондовооружённость, фондооснащённость, оборачиваемость, рентабельность) применяют частные технико-экономические показатели использования оборудования и площадей предприятия.
Для характеристики использования оборудования применяют показатель экстенсивной нагрузки (использование по времени) - коэффициент экстенсивного использования оборудования:
Кэкст = Тф / Тmax, (7)
Где Тф - время фактической работы оборудования;
Тmax - максимально возможное время работы оборудования.
Интенсивность нагрузки (использование по мощности) определяют посредством коэффициента интенсивности использования оборудования:
Кинт = Мф / Мт, (8)
где
Мф - фактический выпуск продукции в единицу времени работы оборудования (фактически достигнутая производительность);
Мт - теоретическая (паспортная) производительность оборудования.
Оценку использования оборудования по объёму работы осуществляют с помощью коэффициента интегральной нагрузки (обобщающий показатель):
Кинтегр = Nвф / Nвmax , (9)
Где Nвф - фактический выпуск продукции за время фактической работы оборудования.
Nвmax - максимально возможный выпуск продукции, исходя из паспортной производительности и максимально возможного времени работы.
Для оценки уровня использования оборудования на предприятиях рассчитывают ещё коэффициент сменности работы оборудования. Для определения коэффициента сменности за один рабочий день всё работающее оборудование распределяется по сменам и находится средняя арифметическая взвешенная. В числителе коэффициента сменности - сумма произведений числа смен и числа единиц оборудования (машино-смены), а в знаменателе общее число работавших в течение дня единиц оборудования (машино-дни).
Во многих организациях кроме собственных основных фондов используют арендованные, что особенно характерно для предприятий сферы обращения, гостиничного и туристического бизнеса и малых фирм, не имеющих достаточного количества собственного имущества. В отличие от собственных основных средств взятые в аренду объекты учитываются за балансом, и основными затратами по их использованию является арендная плата, а не стоимость, списываемая в результате износа. Поэтому в анализе арендованных основных средств обычно применяют только часть показателей, связанную с величинами площади предприятия и складской ёмкости. Анализ собственных основных фондов позволяет производить расчёты по всем показателям, приведённым в данной работе.
1.3 Резервы роста эффективности использования основного капитала
В заключение анализа подсчитывают резервы роста эффективности использования основного капитала. Ими могут быть ввод в действие неустановленного оборудования, замена и модернизация его, сокращение целодневных и внутрисменных простоев, повышение коэффициента сменности, более интенсивное его использование, внедрение мероприятий НТП.
При определении текущих и перспективных резервов вместо планового уровня факторных показателей учитывается возможный их уровень.
Резервы увеличения выпуска продукции за счет ввода в действие нового оборудования определяются умножением дополнительного его количества на фактическую величину среднегодовой выработки или на фактическую величину всех факторов, которые формируют ее уровень:
