Базовые концепции финансового менеджмента
Содержание
Введение
I. Сущность финансового менеджмента, его функции и принципы
1.1 Финансовый менеджмент как научное направление и практическая сфера деятельности
1.2 Функции и принципы финансового менеджмента
II. Базовые концепции финансового менеджмента
2.1 Концепция временной стоимости денег
2.2 Концепция учета фактора инфляции
2.3 Концепция учета фактора риска
2.4 Концепция идеальных рынков капитала
2.5 Гипотеза эффективности рынка
2.6 Анализ дисконтированного денежного потока
2.7 Соотношение между риском и доходностью
2.8 Теория структуры капитала Модильяни-Миллера
2.9 Теория дивидендов Модильяни-Миллера
2.10 Теория ценообразования опционов
2.11 Теория агентских отношений
2.12 Концепция асимметричной информации
Заключение
Список использованных источников
Введение
Финансовый менеджмент — вид профессиональной деятельности, направленной на управление финансово-хозяйственным функционированием фирмы на основе использования современных методов. Финансовый менеджмент является одним из ключевых элементов всей системы современного управления, имеющим особое, приоритетное значение для сегодняшних условий экономики России. Финансовый менеджмент включает в себя: разработку и реализацию финансовой политики фирмы с применением различных финансовых инструментов, принятие решений по финансовым вопросам, их конкретизацию и разработку методов реализации, информационное обеспечение посредством составления и анализа финансовой отчетности фирмы, оценку инвестиционных проектов и формирование портфеля инвестиций, оценку затрат на капитал, финансовое планирование и контроль, организацию аппарата управления финансово-хозяйственной деятельностью фирмы.
Методы финансового менеджмента позволяют оценить: риск и выгодность того или иного способа вложения денег, эффективность работы фирмы, скорость оборачиваемости капитала и его производительность.
Задачей финансового менеджмента является выработка и практическое применение методов, средств и инструментов для достижения целей деятельности фирмы в целом или ее отдельных производственно-хозяйственных звеньев — центров прибыли. Подобными целями могут быть: максимизация прибыли, достижение устойчивой нормы прибыли в плановом периоде, увеличение доходов руководящего состава и вкладчиков (или владельцев) фирмы, повышение курсовой стоимости акций фирмы и др. В конечном итоге все эти цели ориентированы на повышение доходов вкладчиков (акционеров) или владельцев (собственников капитала) фирмы. Финансовый менеджмент базируется на ряде взаимосвязанных фундаментальных концепций, развитых в рамках теории финансов. Концепция (от лат. conceptio — понимание, система) представляет собой определенный способ понимания и трактовки какого-либо явления. С помощью концепции или системы концепций выражается основная точка зрения на данное явление, задаются некоторые конструктивистские рамки, определяющие сущность и направления развития этого явления.
Целью данной курсовой работы является рассмотрение основных концепций финансового менеджмента, его функций и принципов
Объектом исследования является финансовый менеджмент, а предметом – концепции финансового менеджмента и его функции.
I. Финансовый менеджмент как научное направление и практическая сфера деятельности
Финансовый менеджмент как самостоятельное научное направление сформировался в начале 60-х годов XX века. Он возник для теоретического обоснования роли финансов на уровне фирмы.
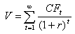
«Отдельные фундаментальные разработки по теории финансов велись еще до второй мировой войны; в частности, можно упомянуть об известной модели оценки стоимости финансового актива, предложенной Дж. Уильямсом в 1938 году и являющейся основой фундаментального подхода»[1].
Согласно этой модели теоретическая стоимость актива зависит от 3 параметров: ожидаемых денежных поступлений (CF), продолжительности периода прогнозирования (t) и доходности (r). В отношении первого параметра существуют различные подходы и модели, например, для акций это – поток дивидендов, для облигаций – купоны и номинал. В зависимости от вида финансового актива параметр времени может иметь ограниченный (облигации) и неограниченный (акции) горизонт прогнозирования. Третий параметр - наиболее существенный, определяется инвестором исходя из доходности альтернативных вариантов вложения капитала. Например, может рассчитываться исходя из процента по государственным облигациям ksb и надбавки за риск kr.
Эта модель подразумевает капитализацию получаемых доходов. Например, оценка облигации по формуле будет верна, если регулярно получаемые проценты не используются на потребление, а немедленно инвестируются в те же облигации или другие ценные бумаги с той же доходностью и степенью риска.
Модификации этой модели используются для оценки стоимости акций и облигаций.
Своему созданию финансовый менеджмент обязан представителям англо-американской финансовой школы: Г. Марковицу, Ф. Модильяни, М. Миллеру, Ф. Блэку, М. Скоулзу, Ю. Фаме, У. Шарпу и другим ученым – основоположникам Современной теории финансов. Она базируется на 4 основных тезисах:
a) Экономическая мощь государства, а значит, и устойчивость его финансовой системы определяется экономической мощью частного сектора, ядро которого составляют крупные корпорации. Так, в США 90% всех доходов генерируют корпорации (corporation), количество которых не превышает 20% предпринимательского сектора. Под корпорацией понимается крупная коммерческая организация, принадлежащая держателям ее акций. Она характеризуется 3 важными признаками: юридическая самостоятельность по отношению к владельцам, ограниченная ответственность (т.е. акционеры компании лично не отвечают по ее долгам), отделение собственности от управления.
б) Вмешательство государства в деятельность частного сектора целесообразно минимизируется.
в) Из доступных источников финансирования, определяющих возможность развития крупных корпораций, основными являются прибыль и рынки капитала.
г) Интернационализация рынков приводит к тому, что общей тенденцией развития финансовых систем различных стран становится стремление к интеграции.
Принято считать, что начало финансовому менеджменту положили работы Гарри Марковица, автора теории портфеля. В них была изложена «методология принятия решений в области инвестирования в финансовые активы»[2]. Дальнейшее развитие портфельная теория получила в 60-е годы XX века благодаря Уильяму Шарпу, Дж. Линтнеру и Дж. Моссину, которые разработали модель оценки доходности финансовых активов – Capital Asset Pricing Model (CAPM), устанавливающую прямую зависимость доходности финансового актива (ki) от его рыночного риска (?i). Бета-коэффициент показывает уровень изменчивости доходности актива по отношению к движению рынка.
