Бюджетные расходы на образование и культуру
2. Для расчета расходов на детские сады надо определить численность детей на начало года и их среднегодовой контингент. Этот контингент по отдельным учреждениям рассчитывается исходя из числа детей (групп) на начало года и его изменения в плановом периоде.
3. Расходы на заработную плату по отдельным учреждениям в смете планируются исходя из утвержденных штатов и ставок заработной платы. Число штатных единиц определяется исходя из количества групп и длительности пребывания детей в детском саду.
4. Ставки заработной платы педагогам и воспитателям устанавливаются в соответствии с разрядом по единой тарифной сетке.
5. Расходы на питание планируются исходя из установленных денежных норм на одного ребенка в день с учетом различного режима пребывания в них детей.
6. Канцелярские и хозяйственные расходы по отдельным учреждениям определяются в том же порядке, как и по общеобразовательным школам: в зависимости от кубатуры зданий и условий функционирования.
7. В детских садах предусматриваются также учебные и прочие расходы: на приобретение игрушек, пособий и материалов для занятий с детьми, на проведение детских праздников и т. д. Эти расходы планируются по нормам на ребенка в год.
8. Затраты на приобретение оборудования, мягкого инвентаря и обмундирования определяются по установленным нормам с учетом обеспеченности им на начало года.
9. Плата родителей составляет небольшую долю (порядка 20%) общих расходов на дошкольные учреждения.
10. При сводном планировании бюджетные ассигнования определяются по средней сумме расходов на одного ребенка с выделением затрат на заработную плату, питание, оборудование новых мест и дооборудование ранее действующих мест мягким инвентарем и прочих затрат на текущее содержание. Нормы расходов на дооборудование мягким инвентарем являются едиными, а на хозяйственные и прочие расходы планируются на уровне предшествующего года. Плата родителей планируется также в среднем на одного ребенка исходя из уровня, сложившегося в текущем периоде.
Порядок планирования затрат на детские ясли аналогичен порядку расчета затрат на детские сады.
2.4 Финансирование расходов на подготовку кадров
Научно-технический прогресс, задачи по повышению эффективности производства и вхождению страны в рыночные отношения требуют постоянного роста знаний и общей культуры кадров.
Подготовку кадров осуществляют профессионально-технические лицеи, средние специальные учебные заведения и высшие учебные заведения.
Все более важное место в настоящее время занимает система переподготовки кадров, исходя из требований рыночной экономики.
Планирование и финансирование расходов на высшие учебные заведения. В стране сформировалась система государственного и негосударственного высшего образования. Бюджетные ассигнования направляются в основном государственным учебным заведениям. Они готовят кадры по всем специальностям, необходимым для развития экономики и непроизводственной сферы страны.
Обучение осуществляется по следующим формам: дневное, вечернее, заочное.
Расходы на вузы определяются отдельно по каждому из них с учетом специфических условий их функционирования исходя из среднегодового числа студентов, норм их материального обеспечения, ставок заработной платы преподавателей и других показателей.
Основным финансовым документом вуза служит смета, определяющая общий объем, целевое направление и поквартальное распределение бюджетных ассигнований.
Министерства и ведомства утверждают подведомственным высшим учебным заведениям сметы с выделением ассигнований по фонду заработной платы с начислениями, стипендиальному фонду, на капитальный ремонт, капитальные вложения, приобретение оборудования и инвентаря.
Расходы по остальным затратам утверждаются в целом по строке «Прочие расходы», а по статьям их распределяет ректор вуза в пределах общей суммы расходов.
В смете приводятся общие сведения об учебном вузе, учебно-материальной базе. При сводном планировании расходы исчисляются на основе расчетных норм на одного студента. Для этого определяют контингент студентов на планируемый год с учетом их выпуска и приема. Расчет проводится отдельно по дневному, вечернему и заочному обучению.
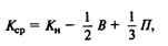
Среднегодовое число студентов определяется по формуле:
где Кср— среднегодовой контингент студентов;
КН — контингент на начало года;
В— выпуск студентов (например, с 1 июля);
П — прием студентов (например, с 1 сентября).
При планировании учитывается возможный отсев студентов. В расходах на вузы значительный удельный вес имеет заработная плата. В фонд заработной платы вузов включается заработная плата штатного профессорско-преподавательского персонала (включая преподавателей-совместителей) дневных, вечерних и заочных учебных заведений, лиц, привлеченных на педагогическую работу на условиях почасовой оплаты, а также административно-технического, учебно-вспомогательного и прочего персонала. Штаты профессорско-преподавательского состава по должностям определяет и утверждает ректор вуза в пределах численности учащихся и фонда заработной платы, установленных для этой категории работников.
1. Фонд заработной платы профессорско-преподавательского состава рассчитывается исходя из двух показателей: количества должностей и средней ставки заработной платы.
Количество должностей определяется по расчетным коэффициентам с учетом числа студентов и аспирантов на одного преподавателя. Эти коэффициенты установлены для дневных, вечерних и заочных отделений по группам вузов и факультетов в соответствии с профилем подготовки студентов и аспирантов.
Ставки заработной платы профессорско-преподавательского состава дифференцированы в зависимости от разряда единой тарифной сетки, ученого звания и ученой степени.
В вузах профессора, доценты и преподаватели в течение шестичасового рабочего дня должны вести все виды учебно-методической и научно-исследовательской работы в соответствии с учебным планом и планом научно-исследовательских работ. Конкретную нагрузку профессорско-преподавательского состава устанавливают ректоры вузов.
2. Заработная плата привлекаемым к учебной работе специалистам, не состоящим в штате, выплачивается из почасового фонда, который планируется в процентах к годовому фонду заработной платы штатного персонала.
3. Фонд заработной платы руководящих, административно-хозяйственных работников и обслуживающего персонала вузов определяется в индивидуальном порядке в зависимости от объема и специфики работы учебного заведения, утвержденных должностных окладов или на основе типовых штатов.
4. Второе место по величине в расходах вузов занимают затраты на выплату стипендий, которые определяются исходя из среднегодового числа студентов, получающих стипендии, и установленных размеров стипендий. По высшим учебным заведениям, имеющим очную аспирантуру, планируются также стипендии аспирантам.
5. Учебные расходы и расходы на приобретение книг для библиотек планируются по нормам, размер которых зависит от форм обучения (дневное, вечернее, заочное) и профиля подготовки специалистов.
