Задача о бесконечной ортотропной пластинке с эллиптическим отверстием и анализ НДС вблизи отверстияРефераты >> Математика >> Задача о бесконечной ортотропной пластинке с эллиптическим отверстием и анализ НДС вблизи отверстия
Нас будет интересовать только напряжение у края отверстия -
где, как показывает ряд решенных задач, оно получается наибольшим. Опуская промежуточные выкладки приведем две формулы (при растяжении вдоль большой и малой оси эллипса):
для нашей задачи в силу принципа суперпозиции (а его можно применить, так как мы рассматриваем линейную связь между напряжениями и деформациями, а также считаем их малыми) получим следующую общую формулу:
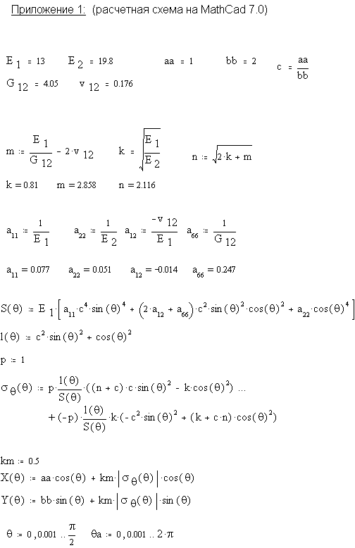
2.5 Иллюстрация распределения напряжений.
Для построения эпюры напряжений на краю отверстия воспользуемся возможностями математического пакета MathCad 7.0. Используя найденную нами формулу рассчитаем напряжения
в зависимости от угла и отложим их на графики от контура отверстия на продолжении лучей, проведенных из центра через данные точки контура. Положительные напряжения изображены стрелками направленными от центра к периферии, отрицательные - стрелками направленными к центру. При расчетах полагалось р=1.
Результаты расчета и график распределения напряжений приведены соответственно в приложениях 1 и 2.
Проведем небольшой анализ полученных результатов. Как мы видим максимальное напряжение наблюдается в точках
, оно равно -6р. То есть наблюдаем концентрацию в 6 раз по сравнению с пластинкой без отверстия.
Используемая литература:
1. Лехницкий С.Г. Теория упругости анизотропного тела.
Гостехиздат М. 1950 г.
2. Лехницкий С.Г. Теория упругости анизотропного тела.
Изд. "Наука" М. 1977 г.
3. под ред. Любина Д. Справочник по композиционным материалам
Машиностроение М. 1988 г.
Приложение 2. (График распределения напряжений)
