Закон денежного обращения и его модификация в различных типах денежных систем
В-шестых, еще один аспект рассматриваемого эмпирического закона отметил У. Джевонс (1835-1882). Не только худшие деньги вытесняют из обращения лучшие. Лучшие деньги обретают дополнительные сферы функционирования и сами по себе обладают способностью уходить из обращения. Даже то, что сделано законным платежным средством, может быть лишено характера денег. Во время гражданской войны правительство США пыталось пустить в обращение билеты достоинством в пятьдесят долларов, приносящий 7,3%, так что процент вычистился очень легко, составляя один цент в день. Однако билеты оказались не в состоянии циркулировать. Вопреки попытке облегчить обращение этих билетов, население предпочитало удерживать билеты с целью получения процентов. Таким образом, пример иллюстрирует столкновение и отбор из однотипных, а именно бумажных, непроцентных и процентных денег. Процентные деньги оказались лучшими деньгами, они выполняли большее число функций, чем обычные бумажные средства платежа, позволяли извлекать прибыль и превратились в ссудный капитал. Будучи наделенными важными дополнительными качествами, они ушли из обращения.
Bмеcтe с тем следует еще раз подчеркнуть, что рассмотренные факторы, подтверждающие действие закона Грешема, связаны с «возмущающими» факторами, дестабилизирующими денежное обращение в той или иной мере.
Общественное представление о лучших и худших деньгах является историческим, т. е. подвижным, оно не закреплено однозначно за определенной формой денег. В условиях бумажно-денежной инфляции золотые деньги являются лучшими. В условиях стабильного денежного обращения ветхую банкноту запросто обменяют на новую, а сильно истершуюся монету - нет. [10, с. 51 – 53]
1.2 «Закономерности эволюции денег в условиях стабильного денежного обращения»
Экономическая наука чаще всего обращает внимание на кризисные ситуации, в которых происходят резкие видимые невооруженным глазом, изменения. Но эволюция денежных систем происходит и в условиях стабильной ситуации в хозяйственной системе. Границы действия любого эмпирического закона никогда не могут быть заранее очерчены. Изменения в денежном обращении порождают новые факты, характеризующие его проявление. Задача теории - всесторонне раскрыть механизм действия закона. В этом отношении представляет некоторый интерес концепция, которую развивают Р Миллер и Д.Д. Ван-Хуз.
Научный инструмент, используемый авторами, связан с понятиями «издержки ожидания» и «трансакционные издержки». В сумме они образуют издержки обращения.
Под издержками ожидания (CW) понимаются расходы, которые несет индивид в связи со временем приобретения необходимого товара. Чем дольше ожидание, тем выше издержки данного вида (Приложение 1).
Под трансакционными издержками традиционно понимаются расходы, которые несет индивид при совершении торговой сделки. Применительно рассматриваемым процессам они связываются не со стоимостью полезного блага, а с усилиями на его поиск, выбор, оплату, риском осуществления сделки. Возможные отклонения цены самого блага в разных точках сбыта и возникающие в связи с этим варианты обмена в расчет не принимаются. Априори полагается, что краткосрочные операции требуют больших трансакционных расходов, чем долгосрочные операции (Приложение 2).
В действительности объективным вариантным фактором отбора форм расчетов являются только трансакционные издержки. При устоявшейся хозяйственной системе, сложившихся привычках делового общения, менталитете определенного человека время на совершение конкретных операций обмена можно признать постоянным. Кроме того, трансакционные издержки, так же как и издержки ожидания, нельзя рассматривать вне времени, вне истории. Таким образом, кривая СТ превращается в луч, характеризующий изменение трансакционных издержек одновременно с эволюцией денежной системы.
Участвуя в процессе купли-продажи товара, индивид несет общие издержки. Его цель состоит именно в их минимизации. Однако во внимание можно принять лишь трансакционные издержки. В отличие от издержек ожидания уровень кривой трансакционных издержек непосредственно определяется системой торговли и денежного обращения. В зависимости от нее кривая трансакционных издержек смещается влево вниз.
Стремления индивидов, вызывающие переход от одной системы торговли к другой, ведут к эволюции денежных систем. В результате снижаются минимальные общие издержки обращения, т.е. удешевляется процесс обмена и уменьшается время, затрачиваемое на его осуществление (Приложение 3).
Однако нельзя достоверно полагать, что на практике усилия, связанные с поиском, выбором товара, его оплатой, риском осуществления сделки, зависят от того, какие именно деньги участвуют в расчетах. На общий процесс эволюции денежных систем влияют не трансакционные издержки, а однородность денежного материала, его делимость, бездоходность, удобство для транспортировки, износостойкость, универсальность в качестве средства накопления, узнаваемость, стабильность.
Важнейшим фактором эволюции денег является их соответствие достигнутому этапу развития рыночного хозяйства, что проявляется через достаточность денег, способность обеспечить всю сумму совершаемых в процессе хозяйственного оборота сделок. [1, с 58 – 62]
Монетарное правило. К эмпирическим законам денежного обращения относится так называемое «монетарное правило», суть которого составляет предложение о практическом установлении связи, количественного соотношение между темпами эмиссии денежных знаков и темпами экономического роста при проведении разумной денежно-кредитной политики с целью недопущения инфляции.
Монетарное правило формулируется следующим образом: темп постоянного ожидаемого прироста массы денег в обращении за определенный период времени должен быть равен темпам прироста валового внутреннего продукта и темпам динамики цен (инфляции) за тот же период. Математически монетарное правило выражается формулой:
∆М = ∆Y + ∆π,
где ∆М – темп прироста массы денег в обращении, %;
∆Y – темп прироста валового внутреннего продукта, %;
∆π – темп динамики цен (инфляции), %.
В данном случае практической проблемой является максимально точная фиксация темпов динамики цен (инфляции).
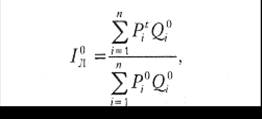
Ценовые индексы. Ценовые индексы указывают общее направление изменения товарных цен и покупательной силы денег. Именно этим определяется их место в учении о деньгах. В настоящее время для измерения покупательной силы денег и инфляции используются ценовые индексы, предложенные Этьеном Ласпейресом, Германом Пааше, Ирвингом Фишером.
Ценовой индекс Э. Ласnейреса - международно признанный статистический показатель, используемый для измерения динамики цен (инфляции), расчета индекса потребительских цен. Он построен на сопоставлении цен базового объема предложения (Q.°):
Считается, что ценовой индекс Ласпейреса преувеличивает реальную динамику роста цен.
