Значение и экономическая обусловленность финансов РФ в условиях рыночной экономики
В сфере страховых отношений каждое из звеньев, представленное особой отраслью страхования, подразделяется по видам страхования. В составе государственных финансов группировка финансовых отношений внутри звеньев осуществляется в соответствии с уровнем государственного управления (федеральный, субъектов федерации, местный) [21].
Одним из главных звеньев финансовой системы является государственный бюджет. С его помощью правительство концентрирует в своих руках значительную часть национального дохода, перераспределяемого финансовыми методами. В этом звене сосредотачиваются крупнейшие доходы и наиболее важные в политическом и экономическом отношении расходы. Бюджет тесно связан с другими звеньями финансовой системы, выступает координирующим центром и оказывает им необходимую помощь в форме бюджетных дотаций, субсидий, субвенций, гарантий, обеспечивая более или менее нормальное функционирование остальных звеньев финансовой системы.
Еще одним важным звеном являются местные финансы, роль и влияние которых повышается. Центральную роль в этом звене играют местные бюджеты, которые не входят в состав государственного бюджета и имеют определенную самостоятельность. Местные бюджеты служат проводником социальной политики центральных властей.
Внебюджетные фонды управляются непосредственно центральными, а в отдельных случаях местными властями. Наиболее распространенными источниками формирования этих фондов являются налоги, отчисления из бюджета, специальные взносы [4].
2. Анализ финансов государства Российской Федерации в условиях рыночных отношений
2.1. Обзор денежного рынка Российской Федерации
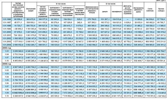
Анализ денежного рынка Российской Федерации по состоянию на 1.10.2006 года.
Рассмотрение и обоснование обзора денежного рынка по состоянию на 1 октября 2006 года.
Таблица 2.1. Денежный обзор, млн. рублей
Итак, анализируя таблицу 2.1. можно сказать, что чистые иностранные активы органов денежно-кредитного регулирования и кредитных организаций в октябре 2005 года составили 4406404,7 млн. рублей, а в октябре 2006 года произошло увеличение – 6268837,0 млн. рублей.
Чистые иностранные активы органов денежно-кредитного регулирования и кредитных организаций — сальдо активных и пассивных операций органов денежно-кредитного регулирования и кредитных организаций с нерезидентами в иностранной валюте, в валюте Российской Федерации и драгоценных металлах.
Далее, анализируя таблицу 2.1. можно сказать, что внутренний кредит в октябре 2005 года составил 4035245,4 млн. рублей, а в октябре 2006 года он составил 4944106,6, т. е. произошло увеличение.
Внутренний кредит — вся совокупность требований банковской системы к государственным нефинансовым организациям, частному сектору, включая население, финансовым (кроме кредитных) организациям и чистого кредита органам государственного управления в валюте Российской Федерации, в иностранной валюте и драгоценных металлах [10].
Исследуя таблицу 2.1. можно сказать, что чистые кредиты органам государственного управления в октябре 2005 года составили отрицательное число -1229427,4 млн. рублей, а в октябре 2006 года также отрицательное число, но уже произошло увеличение -2816571,3 млн. рублей.
Чистые кредиты органам государственного управления — требования со стороны банковской системы к Минфину России, финансовым органам субъектов Российской Федерации и органам местного самоуправления, государственным внебюджетным фондам и внебюджетным фондам субъектов Российской Федерации и органов местного самоуправления за вычетом депозитов и других вложений указанных организаций в банковскую систему Российской Федерации [9].
Анализ статьи «Денежная масса» в таблице 2.1., можно сказать, что в октябре 2005 года денежная масса составила 6458384,8 млн. рублей, а в октябре 2006 года 8897205,2 млн. рублей.
Денежная масса (по методологии денежного обзора) — совокупность агрегатов «Деньги» и «Квазиденьги».
Рассмотрение статьи «Деньги» из таблицы 2.1., можно сказать, что октябре 2005 года деньги составили 3371916,5 млн. рублей, а в октябре 2006 года они составили 4856098,0 млн. рублей, т. е. произошло увеличение.
Деньги — все денежные средства в экономике страны, которые могут быть немедленно использованы как средство платежа. Данный агрегат формируется как совокупность агрегатов «Деньги вне банков» и «Депозиты до востребования» в банковской системе.
Исследование статьи «Квазиденьги» из таблицы 2.1., можно сказать, что в октябре 2005 года квазиденьги составили 3086468,3 млн. рублей, а в октябре 2006 года они составили 4041107,3 млн. рублей, т. е. произошло увеличение.
Квазиденьги — депозиты банковской системы, которые непосредственно не используются как средство платежа и менее ликвидные, чем «Деньги». Данный показатель рассчитывается как сумма агрегатов «срочные и сберегательные депозиты и депозиты в иностранной валюте» по органам денежно-кредитного регулирования и кредитным организациям [10].
2.2 АНАЛИЗ ДЕНЕЖНОЙ МАССЫ КАК ЭЛЕМЕНТА ФИНАНСОВОЙ СИСТЕМЫ РОССИЙСКОЙ ФЕДЕРАЦИИ
Таблица 2.2. Денежная масса (национальное определение), млрд. рублей
Исследование и сравнение денежной массы (национальное определение) по состоянию на октябрь 2005-2006 годов.
В таблице 2.2. «Денежная масса (национальное определение)» представлена информация об объеме, структуре и динамике денежного агрегата M2 — одного из важнейших денежных агрегатов, который используется при разработке экономической политики и установлении количественных ориентиров макроэкономических пропорций.
Денежная масса определяется как совокупность денежных средств в валюте Российской Федерации, предназначенных для оплаты товаров, работ и услуг, а также для целей накопления нефинансовыми организациями и физическими лицами — резидентами Российской Федерации. Источником информации для расчета денежной массы являются данные ежемесячного сводного бухгалтерского баланса кредитных организаций Российской Федерации и сводного бухгалтерского баланса Банка России (в расчет включаются обязательства кредитных организаций и Банка России перед хозяйствующими субъектами) [21].
В составе денежной массы выделено два компонента. Наличные деньги в обращении (денежный агрегат М0) — наиболее ликвидная часть денежной массы, доступная для немедленного использования в качестве платежного средства. Включает банкноты и монету в обращении. Безналичные средствавключают остатки средств нефинансовых организаций и физических лиц на расчетных, текущих, депозитных и иных счетах до востребования (в том числе счетах для расчетов с использованием банковских карт) и срочных счетах, открытых в действующих кредитных организациях в валюте Российской Федерации, а также начисленные проценты по ним. Безналичные средства, учитываемые на аналогичных счетах в кредитных организациях с отозванными лицензиями, не входят в состав денежного агрегата M2. Денежная масса (М2) — рассчитывается как сумма наличных денег в обращении и безналичных средств. В показатель денежной массы в национальном определении в отличие от аналогичного показателя, исчисленного по методологии составления денежного обзора, не включаются депозиты в иностранной валюте [10].
