Инфляция
Развертывание инфляции в целом приводит к обострению экономических и социальных противоречий.
Дефляция – процесс, противоположный инфляции. Дефляция наблюдается в отдельных странах на определенных этапах развития и носит, как правило, краткосрочный характер. Так, например, в США в период Великой депрессии с 1929 по 1933 гг. потребительские цены ежегодно снижались на 7%. Дефляционные процессы (с краткосрочными «разрывами») продолжаются в Японии несколько последних лет. Но если дефляция выходитиз-под контроля, страна попадает в затяжную дефляционную спираль, прикоторой компании теряют прибыль, вынуждены сокращать работников и величину их зарплаты, а потребители начинают ограничивать покупки вследствие сокращения общего платежеспособного спроса. Таким образом, затяжная дефляция может спровоцировать экономический спад и отнюдь не является безусловным благом для народного хозяйства.
1.3 Характеристика основных форм и видов инфляции
Инфляция представляет собой устойчивую тенденцию роста общего уровня цен.
В этом определении важны следующие слова:
1. устойчивая, что означает, что инфляция – это длительный процесс, устойчивая тенденция, и поэтому ее следует отличать от скачка цен;
2. общего уровня цен. Это значит, что инфляция не означает роста всех цен в экономике. Цены на отдельные товары могут вести себя по-разному: повышаться, понижаться, оставаться без изменения. Важно, чтобы увеличился общий индекс цен, т.е. дефлятор ВВП.
В зависимости от критериев выделяют разные виды инфляции. Если критерием служит темп (уровень) инфляции, то выделяют: ползучую, галопирующую и гиперинфляцию.
Ползучая (умеренная) инфляция со среднегодовыми темпами прироста потребительских цен до 10% характерна для промышленно развитых стран.
Это признается неизбежным моментом нормального развития смешанной экономики и рассматривается в качестве фактора экономического роста.
Галопирующая инфляция (прирост цен 10–50%) представляет собой скачкообразный рост цен, обусловленный резкими изменениями в объеме денежной массы или изменениями внешних факторов (например, радикальным повышением цен на импортируемые товары).
Гиперинфляция – это инфляция с очень высоким темпом роста цен (в настоящее время Международный валютный фонд за гиперинфляцию принимает 50%-ный рост цен в месяц). Гиперинфляция – свидетельство глубокого кризиса экономики и сферы денежного обращения. Гиперинфляция порождает долларизацию национальной экономики, что связано с привилегированным положением доллара (или других сильных конвертируемых валют). Происходит массовое бегство капиталов из национальной экономики.
Если критерием выступают формы проявления инфляции, то различают: явную (открытую) инфляцию и подавленную (скрытую) инфляцию.
• Открытая (явная) инфляция проявляется в наблюдаемом росте общего уровня цен.
• Подавленная (скрытая) инфляция имеет место в случае, когда цены устанавливает государство, причем на уровне ниже, чем равновесный рыночный (устанавливаемый по соотношению спроса и предложения на товарном рынке) (рис. 1.). Главная форма проявления скрытой инфляции – дефицит товаров.
Рисунок 1. Подавленная (скрытая) инфляция
PM – равновесная рыночная цена, при которой спрос равен предложению, PG – цена, установленная государством, YS – величина совокупного выпуска (количество продукции, которое произведено и предложено к продаже производителями), YD – величина совокупного спроса (количество продукции, которую хотели бы купить потребители). Разница между YD и YS есть не что иное, как дефицит. Главная форма проявления скрытой инфляции – дефицит товаров Дефицит служит формой проявления инфляции, поскольку одной из характерных черт инфляции является снижение покупательной способности денег. Дефицит означает, что деньги вообще не обладают покупательной способностью, поскольку человек не может на них ничего купить.
Выделяют две основные причины инфляции: 1) увеличение совокупного спроса и 2) сокращение совокупного предложения. В соответствии с причиной, обусловившей рост общего уровня цен различают два типа инфляции: инфляцию спроса и инфляцию издержек.
• Если причиной инфляции служит рост совокупного спроса, то такой тип называется инфляцией спроса (demand-pull inflation).
Рост совокупного спроса может быть вызван либо увеличением любого из компонентов совокупных расходов (потребительских, инвестиционных, государственных и чистого экспорта), либо увеличением предложения денег.
Основной причиной инфляции спроса большинство экономистов (особенно представители школы монетаризма) считают увеличение денежной массы (предложения денег), приходя к этому выводу из анализа уравнения количественной теории денег (также называемого уравнением обмена или уравнением Фишера). Как отмечал глава монетаризма, известный американский экономист, лауреат Нобелевской премии Милтон Фридман: «Инфляция всегда и повсеместно есть чисто денежное явление».
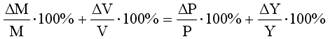
Вспомним уравнение количественной теории денег: M*V = P*Y, где M (money supply) – номинальное предложение денег (масса денег в обращении), V (velocity of money) – скорость обращения денег (величина, которая показывает, сколько оборотов в среднем в год делает одна денежная единица, например, 1 рубль, 1 доллар и т.п. или какое количество сделок в среднем в год обслуживает одна денежная единица), P (price level) – уровень цен и Y(yield) – реальный выпуск (реальный ВВП).
Произведение уровня цен на величину реального выпуска (P * Y) представляет собой величину номинального выпуска (номинального ВВП). Скорость обращения денег практически не меняется и обычно считается величиной постоянной, поэтому увеличение предложения денег, т.е. рост левой части уравнения ведет к росту правой его части. Рост денежной массы ведет к росту уровня цен и в краткосрочном периоде (поскольку в соответствии с современными представлениями кривая совокупного предложения имеет положительный наклон) (рис. 2. (а)), и в долгосрочном периоде (которому соответствует вертикальная кривая совокупного предложения) (рис. 2. (б)). При этом в краткосрочном периоде инфляция сочетается с ростом реального выпуска, а в долгосрочном периоде реальный выпуск не меняется и находится на своем естественном (потенциальном) уровне.
Рисунок 2. Инфляция спроса
В долгосрочном периоде проявляется принцип нейтральности денег, означающий, что изменение предложения денег не оказывает влияния на реальные показатели (величина реального выпуска не изменилась и осталась на уровне Y*) (рис. 2. (б)).
Уравнение обмена может быть представлено в темповой записи (для небольших изменений входящих в него величин):
,
где (deltaМ/М х 100%) – темп прироста денежной массы, обычно обозначаемое m, (deltaV/V x 100%) – темп прироста скорости обращения денег, (deltaP/P x 100%) – темп прироста уровня цен, т.е. темп инфляции pi, (deltaY/Y x 100%) – темп прироста реального ВВП, обозначаемого g.
