Контрольная работа по финансовой математике
Задание 1. В банк, выплачивающий 6% простых годовых, положили 60 000 руб. Через сколько лет на счету будет 65 400 руб.?
SUM = X * (1 + %)n
SUM = 60 000 руб
% - процентная ставка, процентов годовых /100 – 6 %
(65400=60000*(1+0,06)^Х); Х=log1,06(1,09)=1,6
Ответ: через 1,6 года на счету будет 65400 руб.
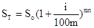
Задание 2. Г-н Петров хочет вложить 30 000 руб., чтобы через 5 лет получить 40000 руб. Под какую процентную ставку j12 он должен вложить свои деньги?
Решение:
![]()
i = (1,0048-1)*1200
i = 5,76
Проверим:
Задание 3. Г-н Сидоров положил в банк, выплачивающий проценты по годовой ставке i = 5% (сложных) сумму 12000 руб. Через 1 год 6 месяцев он снял со счѐта 4 500 руб., а ещѐ через 2 года положил на свой счѐт 2 000 руб. После этого, через 3 года 6 месяцев он закрыл счѐт. Какую сумму он получил?
((12000*(1+0,05)^(18/12)-4500)*(1+0.05)^(24/12)+2000)*(1+0.05)^(42/12)) = ((6615 - 4500) * )*(1+0.05)^(24/12)+2000)*(1+0.05)^(42/12)) = (2115 * 1,1025)+2000)*(1+0.05)^(42/12)) = (2331,79+2000)*(1+0.05)^(42/12)) = 4331,79 * 0,6077 = 2632,66 руб – сумму получил
Задание 4. Г- н Сидоров хочет накопить за 6 лет 40000 руб., делая ежегодные равные вклады в банк, который выплачивает проценты поставке j 12 = 10 %, годовых (сложных). Какую сумму должен ежегодно вкладывать г-н Сидоров?
Сумма = (10%/12;6 х 12;;40000) = 407,7 руб. в месяц должен вносить г-н Сидоров
Задание 5. Какую сумму надо положить в банк, выплачивающий непрерывные проценты по ставке δ= 5%?
Используем формулы дискретных и непрерывных процентов: начисление один раз в год, условно 100000 руб на 5 лет FV = 100'000 • (1 + 0,05)5 = 127 628,15 руб
