Оценка конкурентоспособности на рынке
Предлагаемый способ решения многокритериальных задач ранжирования можно разбить на следующие этапы:
Этап 1. Формулируется задача НМП (нечеткого математического программирования):
, (16)
где
— функция принадлежности элемента x j ко множеству Ai, характеризующая степень близости значения i-го критерия в рассматриваемой пробной точке
к оптимальному значению данного критерия. Функции принадлежности строятся с помощью процедуры, выбираемой ЛПР. Сначала необходимо задать функции принадлежности
, а затем для каждого fi j рассчитать значение
.
Этап 2. На основе полученных значений
для каждого объекта рассчитывается агрегирующая функция:
, (17)
где * — некоторая бинарная операция.
Этап 3.После осуществления этапа 2 каждому j-му объекту будет соответствовать единственный числовой параметр
. Для определения оптимальной точки из числа всех пробных точек необходимо выбрать пробную точку с номером j 0, для которой
. (18)
Выбор вида функций принадлежности зависит от ряда субъективных факторов, которые обязательно присутствуют, так как выбор осуществляет ЛПР.
Выбор наиболее конкурентоспособного образца продукции — частный случай многокритериальной задачи ранжирования. Необходимо внести следующие изменения:
1) ввести ограничения для значений функции принадлежности: [0; 1]; значение функции принадлежности будет характеризовать степень удовлетворения потребности в i-й характеристике j-м образцом продукции. Причем если
= 0, то значение i-й характеристики неудовлетворительно, а если
= 1, то потребность в i-й характеристике удовлетворена полностью;
2) если нет возможности определить параметры функции принадлежности, то рекомендуется следующая процедура. Выберем объект
обладающий наилучшим значением признака
. Значение функции желательности для него составит
. Значение функции принадлежности для остальных объектов рассчитывается по формулам (19) и (20):
, (19)
если улучшению признака соответствует увеличение его значения;
, (20)
если улучшению признака соответствует уменьшение его значения;
3) для учета различного влияния разных показателей на агрегирующую функцию преобразовать формулу (14) в следующую:
, (21)
где М1 .M j — значение степени. Чем меньше значимость показателя, тем больше М (значение функции принадлежности лежит в интервале [0; 1], поэтому при возведении в бо2льшую степень получается меньший результат). Рекомендуем наиболее значимому фактору присваивать М = 1;
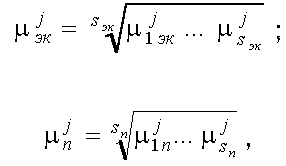
4) характеристики, так же как и в способе I оценки конкурентоспособности, разбить на потребительские и экономические. Для каждой из групп найти агрегирующую функцию
, которые предлагается рассчитывать как среднее геометрическое значений функции принадлежности по отдельным признакам, то есть:
; (22)
где Sэк и Sп — количество экономических и потребительских показателей, соответственно.
Показатель конкурентоспособности будет равен их произведению:
. (24)
Почему в качестве бинарной операции выбрана функция среднего геометрического, а не, к примеру, среднего арифметического?
Используя формулу среднего геометрического для расчета агрегирующих функций желательности, получаем, что при неудовлетворительном значении какого-либо признака (
= 0) объект является абсолютно неконкурентоспособным (Mj = 0, следовательно, и К = 0), что соответствует действительности. Используя, например, формулу средней арифметической, в том же случае будет наблюдаться лишь незначительное снижение показателя конкурентоспособности К.
Для сравнения эффективности представленных методов оценки конкурентоспособности продукции рассмотрим пример.
Использованная литература:
1. Гончарова Н.П., Перерва П.Г. и др. Маркетинг инновационного процесса: Учебное пособие. — Киев: 1998.
2. Горбашко Е.А. Менеджмент качества и конкурентоспособности: Учебное пособие. — СПб.: Изд-во СПбГУЭФ, 1998.
3. Маркетинг: Учебник / Романов А.Н., Коряюгов Ю.Ю., Красильников С.А. и др.; Под ред. А.Н. Романова. — М.: Банки и биржи, ЮНИТИ, 1996.
4. Тарасова В.П., Крутикова Ф.А. Толковый словарь рыночной экономики. — М.: Рекламно-издательская фирма «Глория», 1993.
5. Амбарцумов А.А., Стерликов Ф.Ф. 1000 терминов рыночной экономики: Справочное учебное пособие. — М.: Крон-Пресс, 1993.
