Расчет затвердевания плоской отливкиРефераты >> Металлургия >> Расчет затвердевания плоской отливки
(43)
, s=0, (нулевое приближение)
к=2,
(44)
5) Найти нулевое приближение Δtк, 0 на к-том шаге
переход nf → i → i+1 по формуле (23)
6) Найти коэффициенты Ai, Сi, Вi, Di по соответствующим формулам для сред Метв. и Меж. В нулевом приближении при s=0
7) Рассчитать прогоночные коэффициенты ai+1, bi+1 для Метв. и Меж., s=0 с учетом что Тnf=Тз.
Т1=р2Т2+g2
Тi=а2Т2+в2
Найти а2 и в2:
а2=1,
(45)
(46)
8) Рассчитать температуру на оси симметрии
(47)
9) Рассчитать температурное поле жидкого и твердого металла
(48)
10) Пересчитать значения ∆tк по итерационному процессу (24)
d – параметр итерации (d=0…1)
проверяем точность;
11) Скорость охлаждения в каждом узле i рассчитать по формуле:
, оС/с (50)
12) Скорость затвердевания на каждом временном шаге:
, м/с (51)
13) Средняя скорость охлаждения на оси отливки:
14) Положение фронта затвердевания по отношению к поверхности отливки
, к – шаг по времени (52)
15) Полное время затвердевания
, к′ - последний шаг (53)
16) Средняя скорость затвердевания отливки
(54)
Идентификаторы
|
|
| ||
|
|
| ||
|
|
| ||
|
|
| ||
|
|
| ||
|
|
| ||
|
|
| ||
|
|
| ||
|
|
| ||
|
|
| ||
|
|
| ||
|
|
| ||
|
|
| ||
|
|
| ||
|
|
| ||
|
|
| ||
|
|
| ||
|
|
| ||
|
|
| ||
|
|
| ||
|
|
|
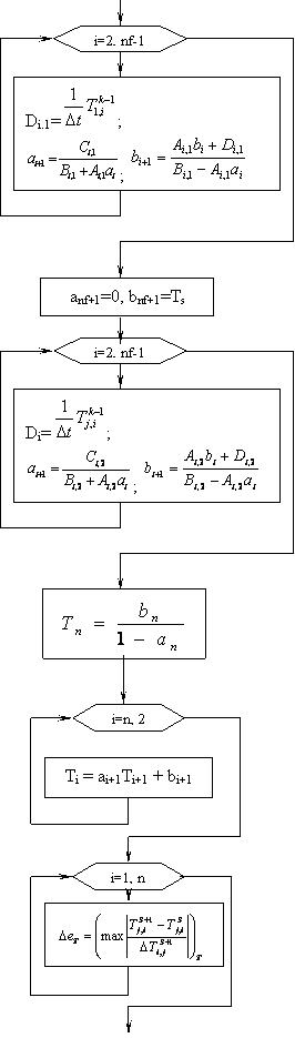
Блок-схема
- [Вводим исходные данные
- [Вычисляем шаг по пространству
- [Вычисляем коэффициенты Аj, Сj для подстановки в (32), (33) и задаем температуру в первой точке
- [Температурное поле для первого шага по времени
- [Делаем шаг по времени
- [Вычисляем плотность теплового потока
- [Шаг по времени в нулевом приближении
- [Начальные прогоночные коэффициенты
- [Шаг по итерации
- [Вычисляем коэффициенты Bj для подстановки в (32), (33)
- [Вычисляем прогоночные коэффициенты по твердому металлу
- [Прогоночные коэффициенты для фронта
- [Вычисляем прогоночные коэффициенты по жидкому металлу
- [Температура на оси симметрии
- [Расчет температурного поля
- [Ищем максимальный температурный шаг
- [Уточняем Dt
- [Точность временного шага
- [Проверка точности
- [Расчет времени
- [Скорость охлаждения в каждом узле
- [Скорость затвердевания и положение фронта
- [Вывод результатов
- [Проверка достижения фронтом центра отливки
- [Расчет полного времени, ср. скорости затвердевания ср. скорости охлаждения на оси отливки
Вывод результатов
- [Конец.
Программа
CLEAR , , 2000
DIM T(1000), T1(1000), AP(1000), BP(1000), Vox(1000), N$(50)
