Решение компании о международном инвестировании
Международные корпорации бывают двух основных видов:
Транснациональные корпорации (transnational corporations - TNCs)
головная компания их принадлежит капиталу одной страны, а филиалы разбросаны по многим странам мира.
Многонациональные корпорации (multinational corporations - MNCs) головная компания их принадлежит капиталу двух и более стран, а филиалы также находятся в различных странах.
Транснациональная компания (корпорация) — компания, которая ведет экономическую деятельность и имеет активы в двух или больше странах.
По выработанному в ООН определению – ТНК - частные, государственные или смешанные предприятия, не зависимые от страны их происхождения и имеющие в двух или более странах структуры, которые функционируют в соответствии с системой принятия решений, позволяющей проводить их согласованную политику и общую стратегию.
ТНК - корпорация, компания, осуществляющая основную часть своих операций за пределами страны, в которой она зарегистрирована, чаще всего в нескольких странах, где имеет сеть отделений, филиалов, предприятий.
Таким образом, главным качественным признаком международных корпораций является процесс прямого зарубежного инвестирования. В силу этого мотивами размещения прямых инвестиций за рубежом (расширение рынков сбыта, получение доступа к дешевым ресурсам, приобретение собственности) можно объяснить процесс возникновения международных корпораций.
Далее рассмотрим некоторые факторы, которые должны учитывать финансовые менеджеры при принятии решения о международном инвестировании.
2.1 Прогнозирование будущих денежных потоков
«Спот» и «форвард» - методы в расчете чистой приведенной стоимости международного проекта ТНК
Инвестиционная математика базируется на концепции стоимости денег во времени. В основе этой концепции лежит следующий основной принцип: «Доллар сейчас стоит больше, чем доллар, который будет получен в будущем, например, через год», так как он может быть инвестирован и это принесет дополнительную прибыль. Данный принцип является наиболее важным положением во всей теории финансов и анализе инвестиций. На этом принципе основан подход к оценке экономической эффективности инвестиционных проектов.
Поскольку принимать решение приходится «сегодня», все показатели будущей деятельности инвестиционного проекта должны быть откорректированы с учетом снижения ценности денежных ресурсов по мере отдаления операций, связанных с их расходованием или получением. Практически корректировка заключается в приведении всех величин, характеризующих финансовую сторону осуществления проекта, в масштаб цен, сопоставимый с имеющимся «сегодня». Операция такого пересчета называется «дисконтированием» (уценкой).
Расчет коэффициентов приведения в практике оценки инвестиционных проектов производится на основании коэффициента дисконтирования.
Дисконтирование выполняется путём умножения будущих денежных потоков (потоков платежей) на коэффициент дисконтирования, который = 1/(1+i)n
i — процентная ставка,
n — количество периодов
Ставка дисконтирования – это та норма доходности (в %), которую необходимо получить инвестору на вложенный капитал. Т.е. проект является привлекательным для инвестора, если его норма доходности превышает ставку дисконтирования для любого другого способа вложения капитала с аналогичным риском.
С другой стороны ставка дисконтирования отражает стоимость денег с учетом временного фактора и рисков, так как деньги, полученные в настоящий момент, более предпочтительны, чем деньги, которые будут получены в будущем.
Ставка дисконтирования - переменная величина, зависящая от ряда факторов, влияющих на будущие денежные потоки, которые определятся индивидуально для каждого инвестиционного проекта. Факторы могут быть следующие:
1. стоимость альтернативного вложения средств на данный период, как то: ставка банковского процента по депозитам, ставка рефинансирования;
2. оценка уровня инфляции на выбранный период,
3. оценка стоимости риска обесценивания средств за период;
4. оценка риска неполучения средств в период действия проекта (иногда называют платой за венчур, при реализации венчурных проектов)
Метод дисконтированных будущих денежных потоков используется тогда, когда можно обоснованно спрогнозировать будущие денежные потоки. Другими словами, метод более применим, когда не удается сделать предположение в отношении стабильности дохода или его постоянного равномерного темпа роста. Денежные поступления конвертируются в текущую стоимость посредством расчетов, учитывающих ожидаемый рост и время получения выгод, риск, связанный с потоком выгод, и стоимость денег в зависимости от времени (см. пример расчета в Главе 3).
Метод чистой приведенной стоимости (NPV) представляет собой один из подходов к экономическому анализу эффективности намечаемых инвестиций, основанных на дисконтированных денежных потоках. Чистая приведенная стоимость (net present value — NPV) — приведенная стоимость чистых денежных потоков инвестиционного проекта минус первоначальные инвестиции, необходимые для его реализации.
Другими словами, NPV - это разность между текущей стоимостью денежных поступлений по проекту или инвестиций и текущей стоимостью денежных выплат на получение инвестиций, либо на финансирование проекта, рассчитанная по фиксированной ставке дисконтирования, приведенная к сегодняшнему дню.
Метод состоит в следующем:
1. Определяется текущая стоимость затрат (IС), т.е. решается вопрос, сколько инвестиций нужно зарезервировать для проекта.
2. Рассчитывается текущая стоимость будущих денежных поступлений от проекта, для чего доходы за каждый год CF (денежный поток) приводятся к текущей дате.
Результаты расчетов показывают, сколько средств нужно было бы вложить сейчас для получения запланированных доходов, если бы ставка доходов была равна барьерной ставке (для инвестора ставке альтернативной доходности, для предприятия цене совокупного капитала или через риски).
3. Текущая стоимость инвестиционных затрат (IС) сравнивается с текущей стоимостью доходов. Разность между ними составляет чистую текущую стоимость доходов (NPV).
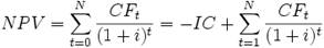
Иначе говоря, для потока платежей CF (Cash Flow), где CFt — платёж через t лет и начальной инвестиции IC (Invested Capital) в размере IC = − CF0 чистый дисконтированный доход NPV рассчитывается по формуле:
,
где i — ставка дисконтирования.
Расчёт NPV — стандартный метод оценки эффективности инвестиционного проекта и показывает оценку эффекта от инвестиции, приведённую к настоящему моменту времени с учётом разной временно́й стоимости денег. Если NPV больше 0, то инвестиция прибыльна, а если NPV меньше 0, то инвестиция убыточна.
С помощью NPV можно также оценивать сравнительную эффективность альтернативных вложений (при одинаковых начальных вложениях более выгоден проект с наибольшим NPV).
