Рынок ценных бумаг. Фондовый рынок Украины
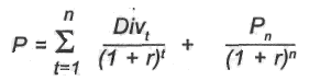
Цена, или курсовая стоимость акции определяется по формуле:
[5]
где Р - цена акции,
Divt-дивиденд, который будет выплачен в периоде t,
r - ставка дисконтирования (доходность), которая соответствует уровню риска инвестирования в акции данного акционерного общества,
Рn - цена акции в конце периода n, когда инвестор планирует продать ее.
![]() |
[5]
где Div1 - дивиденд будущего года;
g - темп прироста дивиденда.
Например, Div, = 210 на акцию, g = 5%, r = 25%. Требуется определить курсовую стоимость акции. Согласно формуле она равна:
[5]
Доходность операции с акцией, если покупка и продажа акции происходят в рамках одного года, можно определить по формуле:
[5]
где r - число дней с момента покупки до продажи акции,
Ps - цена продажи акции. Если за прошедший период времени дивиденд на акцию не выплачивался, то он исключается из формулы.
Облигация - это срочная долговая ценная бумага, которая удостоверяет отношение займа между ее владельцем и эмитентом. Облигации могут выпускать государство в лице общегосударственных и местных органов власти, акционерные общества, частные предприятия. Наиболее важное отличие облигации от акции состоит в том, что она представляет собой долговое обязательство эмитента, т.е. предоставленный ему кредит, оформленный в виде ценной бумаги. Все платежи по облигации эмитент должен осуществлять в первую очередь по сравнению с акциями и в обязательном порядке. Платежи обеспечиваются имуществом эмитента.
Облигация является срочной бумагой, т.е. эмитируется на определенный период времени, и по его истечении должна выкупаться. Как правило, эмитент выкупает ее по номиналу. Облигации могут выпускаться с условием досрочного отзыва или погашения.
Минимальный срок, на который может выпускаться облигация, не ограничен. В отношении государственных ценных бумаг предусматривается, что они не могут выпускаться на срок более 30 лет. По времени обращения они подразделяются на краткосрочные (до 1 года), среднесрочные (от 1 года до 5 лет) и долгосрочные (от 5 до 30 лет).
Облигации могут быть именными и на предъявителя.
Существуют различные виды облигаций. Классическая облигация представляет собой ценную бумагу, по которой выплачивается фиксированный доход. Доход по облигации называют процентом, или купоном. Саму облигацию именуют купонной, или твердопроцентной бумагой. Поскольку для рыночной экономики характерна инфляция, то твердопроцентная бумага не всегда отвечает интересам инвесторов. Поэтому появились облигации с плавающим (переменным) купоном. Величина купона у них меняется в зависимости от изменения показателя, к которому "привязан" купон. Например, это может быть индекс потребительских цен, поскольку он отражает уровень инфляции, или индекс цен какого-либо товара и т.п.
В условиях инфляции обесценению подвергается и номинал бумаги. Поэтому существуют индексируемые облигации. У них плавающим является не только купон, но и номинал.
Существуют облигации бескупонные. В качестве синонимов используются термины "облигация с нулевым купоном" или "чистая дисконтная облигация". Бескупонная облигация - это ценная бумага, которая не имеет купонов. Доход инвестора возникает за счет разницы между ценой погашения облигации (номиналом) и ценой ее приобретения.
Следующий вид облигации - это конвертируемая облигация. В соответствии с условиями эмиссии ее можно обменять на акции или другие облигации. Чаще всего, это обыкновенные акции АО, выпустившего облигации. Смысл приобретения конвертируемой в обыкновенные акции облигации состоит в том, чтобы, с одной стороны, гарантировать получение дохода, приносимого облигацией в случае не очень успешной работы АО, а, с другой стороны, сохранить возможность увеличить доход, конвертировав облигацию в акцию, если по ней стали выплачиваться высокие дивиденды.
Облигация имеет номинал. Как общее правило, при погашении бумаги инвестору выплачивается сумма, равная номиналу.
Если облигация не является бескупонной, то доход по ней задается в виде купона. Купон представляет собой определенный процент. Например, номинал облигации 1 млн., купон 20%. Чтобы узнать величину купона в деньгах, необходимо купонный процент умножить на номинал. Так, например, 20% от номинала составит величину купона, равную 200 тыс.
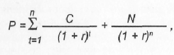
Как общее правило, значение купона объявляется в расчете на год, однако выплачиваться он может и чаще - раз в полгода, квартал. Если в нашем примере купон составляет 200 тыс. за год, то в случае его выплаты два раза в год инвестор будет получать по 100 тыс. каждые полгода; если купон выплачивается ежеквартально, то сумма каждого платежа составит 50 тыс. Курсовая стоимость купонной облигации определяется по формуле
[5]
где Р - цена облигации,
С - купон,
N - номинал,
n - число лет до погашения облигации,
r - доходность до погашения облигации.
Например, N = 1 млн., купон - 20%, доходность до погашения - 15%, до погашения остается три года. Тогда цена облигации равна:
[5]
Ориентировочная доходность купонной облигации определяется по формуле:
[5]
где r - доходность до погашения,
N - номинал облигации,
Р - цена облигации,
n - число лет до погашения, С - купон.
Например, N = 1000 руб., Р = 850, n - 4 года, купон равен 15%.
Тогда доходность облигации составит:
[5]
В зависимости от ситуации на рынке купонная облигация может продаваться по цене как ниже, так и выше номинала. Разность между номиналом облигации и ценой, если она ниже номинала, называется скидкой (дисконтом), или дезажио. Например, номинал облигации 1 млн. руб., цена 960 тыс. В этом случае скидка равна 40 тыс.
Разность между ценой облигации, если она выше номинала, и номиналом называется премией, или ажио. Например, цена облигации 1020 тыс., тогда премия равна 20 тыс.
Котировки облигации принято давать в процентах. При этом номинал бумаги принимается за 100%. Чтобы узнать по котировке стоимость облигации в рублях, следует умножить котировку в процентах на номинал облигации. Например, номинал облигации равен 1 тыс., цена - 96%. Это означает, что она стоит 960. [4]
Изменение цены облигации измеряют в пунктах. Один пункт равен 1%. Например, цена бумаги увеличилась с 90% до 95%. Это означает, что она выросла на 5 пунктов.

