Совершенствование управления инвестиционной привлекательностью предприятия на примере ОАО Нижнекамскшина
Затем каждому фактору, независимо от того является он количественным или качественным, присваивается соответствующая балловая оценка.
Абсолютные значения и балловая оценка факторов инвестиционной привлекательности предприятия приведена в таблице 3.
Таблица 3 - Балловая оценка факторов инвестиционной привлекательности
предприятия
|
Фактор инвестиционной привлекательности |
Абсолютное значение фактора |
Балловая оценка |
|
Коэффициент соотношения заемных и собственных средств |
от 0,2 до0,5 меньше 0,2 больше 0,5 | 3 2 1 |
|
Коэффициент текущей ликвидности |
больше 1,7 от 1.2 до 1,7 меньше 1,2 |
3 2 1 |
|
Коэффициент оборачиваемости активов |
больше 0,6 от 0,4 до 0,6 меньше 0,4 |
3 2 1 |
|
Рентабельность собственного капитала по чистой прибыли |
больше 8 от 3 до 8 меньше 3 |
3 2 1 |
|
Рентабельность продаж по чистой прибыли |
больше 16 от 8 до 16 меньше 8 |
3 2 1 |
|
Инвестиционный климат региона, в котором находится предприятие |
благоприятный неблагоприятный крайне неблагоприятный |
3 2 1 |
|
Инвестиционная привлекательность отрасли, к которой принадлежит предприятие |
высокая (нефтедобывающая, нефтеперерабатывающая и др.) средняя (черная, цветная металлургия, химическая и др.) низкая (легкая, лесная и др.) |
3 2 1 |
|
Стадия жизненного цикла основного вида продукции |
рост зрелость старение |
3 2 1 |
|
Степень конкуренции на товарном рынке |
низкая средняя высокая |
3 2 1 |
|
Экологическая нагрузка на природную среду |
незначительная высокая разрушительная |
3 2 1 |
|
Финансовая прозрачность и раскрытие информации |
раскрытие отчетности в СМИ и в Интернет информация раскрывается частично и не регулярно трудности в раскрытии информации |
3 2 |
|
Соблюдение прав мелких акционеров по управлению предприятием |
Рассылка по почте уведомлений и документов для голосования на собрании акционеров Рассылка по почте уведомлений о собрании акционеров, но устав общества не допускает заочное голосование |
3
2 1 |
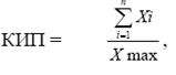
Далее рассчитывается интегральный коэффициент инвестиционной привлекательности предприятия (КИП) по следующей формуле:
|
где i = 1, 2, 3 . n - количество факторов (n = 19);
Хi - балловая оценка i-го фактора;
Хmax - максимальное возможное суммарное количество баллов.
В соответствии с критерием инвестиционной привлекательности возможна следующая классификация предприятий, предложенная консалтинговой компанией McQuisney [27.С.85], (см. рисунок 1).
По вертикали: ожидания инвесторами краткосрочного роста прибыли компании относительно конкурентов (наверху - высокие ожидания, внизу - низкие), по горизонтали: ожидания инвесторами долгосрочного роста прибыли компании относительно конкурентов (справа - высокие ожидания, слева - низкие).
|
Спринтеры |
Чемпионы мира |
|
Бегуны не в форме |
Марафонцы |
Рисунок 1 - Классификация предприятий по критерию
инвестиционной привлекательности
Согласно данной классификации, в «спринтеры» попадают компании, у которых инвесторы ожидают высокого темпа роста прибыли в краткосрочном плане. В «чемпионы мира»- компании, у которых ожидается высокий темп роста как в краткосрочном, так и в долгосрочном плане. В «марафонцы» - те, у кого ожидается высокий темп роста в долгосрочном плане. «Бегуны не в форме» - это те, у которых не ожидается высокий темп роста ни краткосрочном, ни в долгосрочном планах.
Соответственно, согласно рекомендациям компании McQuisney, менеджеры «чемпионов мира» должны прилагать максимум усилий, чтобы оправдать высокие ожидания инвесторов в краткосрочном и долгосрочном планах, т.е. поддерживать высокий темп роста в краткосрочном и долгосрочном планах. Менеджеры «спринтеров» должны прилагать максимум усилий, осуществляя инвестиции в долгосрочном плане, так как таким образом они могут повысить стоимость своих акций. Менеджеры «марафонцев» должны прилагать максимум усилий, чтобы убедить инвесторов, что они и в краткосрочном плане достойны внимания. В этот разряд попадают компании, которые в текущий момент, как правило, убыточны, зато могут стать прибыльными и захватить крупную долю рынка в будущем. Менеджеры таких компаний должны сосредоточиться не на инвестиционной политике в будущем, а на увеличении рентабельности и выходе на точку безубыточности в настоящем. Менеджеры «бегунов не в форме» должны реструктурировать свой бизнес, чтобы достичь краткосрочного роста и заложить основы для долгосрочного роста.
В процессе выбора инвестиционной политики, необходимо, прежде всего, использовать традиционные критерии оценки инвестиционных проектов. В случае если проект им удовлетворяет, необходимо проверить, как влияет реализация данного проекта на темпы роста прибыли предприятия. В случае если реализация данного проекта снижает темпы роста, проект должен быть отвергнут [17.С.45].
