Адсорбция ионных и неионных поверхностно-активных веществ
|
|
|
Рис.18. Состав поверхностного слоя на латексных частицах в зависимости от состава смешанного раствора ПАВ, содержащего NP-Ejо и ДСН. Адсорбция на полистирольном и полибутилметакрилатном латексах. Штриховая прямая отвечает равному распределению между поверхностью и раствором; пунктирная линия - распределение, рассчитанное в предположении отсутствия взаимодействия между поверхностно-активными веществами). Сплошная линия - расчет с учетом взаимодействия между ПАВ
3.3 Смесь двух неионных ПАВ
Рассмотрим конкуренцию двух НПАВ за центры адсорбции на поверхности. Конечно, более гидрофобное НПАВ должно доминировать в адсорбционном слое вследствие его более низкой растворимости в водной фазе. Выше уже обсуждалась одновременная адсорбция на гидрофобной поверхности двух НПАВ. Напомним, что более гидрофобное НПАВ преимущественно адсорбируется на поверхности, а более гидрофильное предпочтительно остается в водной фазе.
Рис. 19. Конкурентная адсорбция НПАВ из смешанного раствора СнЕб и СюЕб при молярном соотношении компонентов, равном 0.5, на поверхности кремнезема
На рис. 19 приведен еще один пример одновременной адсорбции неионных поверхностно-активных веществ из смешанного раствора. На поверхности кремнезема измерена адсорбция С^Еб и СюЕб при молярном соотношении, равном 0.5, и суммарной концентрации НПАВ 2 мМ, что намного превышает KKM смеси. Адсорбция этих НПАВ из индивидуальных растворов составляет - 3 ммоль/м2 для СюЕб и ~5ммоль/м2 для С^Еб. Величина адсорбции из смеси составляет 4.5 ммоль/м, что указывает на то, что в поверхностном слое в избытке присутствует СнЕб за счет уменьшения доли СюЕб. Еще интереснее ведут себя подобные системы при разбавлении.
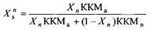
Для понимания поведения системы при разбавлении полезно рассмотреть две экстремальные точки. При очень большой концентрации НПАВ состав поверхностного слоя приближается к составу исходного раствора. При адсорбции из разбавленного раствора состав поверхностного слоя описывается уравнением
При разбавлении состав поверхностного слоя обогащается более гидрофобным НПАВ, и, соответственно, доля более гидрофильного НПАВ снижается. При разбавлении смеси химический потенциал более гидрофобного НПАВ увеличивается, следовательно, адсорбция увеличивается, а более гидрофильное НПАВ десорбируется с поверхности. Заметим, что подобные явления играют важную роль в процессах отмывания, например в посудомоечных машинах, когда полоскание приводит к повторному осаждению более гидрофобных веществ на поверхностях.
3.4 Смеси анионного ПАВ и полимера
Во многих технологиях одновременно используются поверхностно-активные вещества и водорастворимые полимеры. В таких случаях адсорбция на поверхностях контролируется взаимодействиями между ПАВ и полимером. Рассмотрим адсорбцию на полярной поверхности, когда ПАВ адсорбируются за счет взаимодействия с поверхностью полярных групп. Углеводородные цепи ПАВ создают ядро для последующей адсорбции за счет гидрофобных взаимодействий. Водорастворимые полимеры облегчают мицеллобразование ионных ПАВ, экранируя полярные группы ПАВ в мицелле. Это справедливо и для мицеллярных агрегатов, адсорбированных на поверхности.
