Аффинность антител и кинетика реакций
,
Величина ф называется временем релаксации. Анализ зависимости в координатах 1 / ч -— -~ позволяет найти по тангенсу угла наклона прямой значение ki, а по отрезку, отсекаемому на оси ординат, k-i.
Определение констант скоростей комплексообразования с использованием меченых реагентов. Этот метод, нашел большое применение в связи с развитием высокочувствительных методов иммуноанализа, основанных на использовании меченых реагентов: радиоиммунологического, иммунофер-ментного и других -методов. Кинетические закономерности простейшей схемы взаимодействия антиген — антитело описывает система дифференциальных уравнений:
Определение кинетических констант взаимодействия моновалентного антигена с субпопуляцней антител по методу температурного скачка
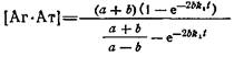
С учетом уравнения материального баланса
н начальных условий можно получить решение системы
где
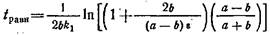
Весьма существенным параметром в «ммуноферментном анализе является время установления равновесия в системе. Если считать, что ^равн определяется условием
7
то время установления равновесия можно найти по формуле
Так как для вычисления времени необходимо точное значение констант скоростей k\ и k-i, которые часто неизвестны, то это уравнение обычно используют лишь для самой грубой оценки времени установления равновесия.
Определение константы скорости ассоциации. 1. Наиболее простой метод основан на регистрации начальной скорости V<> образования комплекса Бг·Бф, тогда
Однако метод недостаточно точен, так как определение о н У о обычно производится с большой ошибкой. Для повышения точности при расчетах используют несколько начальных.концентраций реагентов.
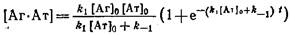
2. Для нахождения k\ и k-\ эксперимент проводят в условиях избыточной концентрации одного из реагентов. В случае применения меченого антигена используют большой избыток соответствующих антител. Выражение для концентрации Комплекса в этом случае принимает следующий вид:
Как видно из этого выражения, зависимость равновесной концентрации комплекса от времени описывается моноэкспоненциальной кривой с предэкспоненциальным множителем
*
соответствующим эффективной константе скорости ассоциации.
Спрямляя зависимость одним из известных способов, например, в координатах
>
по тангенсу угла прямой вычисляют k' при заданной концентрации 0.
Откладывая графически k' от концентрации 0,получаем прямую, тангенс угла наклона которой дает ki, а отрезок, отсекаемый на оси ординат, k-i. Данный способ расчета пригоден, когда k-\ сравнима с &i0. В противном случае что позволяет определить по тангенсу угла наклона только бимолекулярную константу скорости Бй.
Определение константы скорости диссоциации. Обычно константу скорости диссоциации находят путем прямого измерения скорости процесса диссоциации. комплекса в условиях его необратимости. Для этого используют один из следующих подходов.
1. После установления равновесия в системе проводят разбавление системы большим избытком буфера. Так как скорость образования комплекса пропорциональна произведению концентраций каждого из реагентов, а скорость диссоциации комплекса — его концентрации в первбй степени, то при сильном разбавлении
В этом случае процесс диссоциации комплекса Аг-Ат будет описываться экспоненциальной кривой. Спрямлением ее в логарифмических координатах можно получить константу скорости k-u
2. В систему вносят вещества, способные быстро и полностью связывать или удалять свободный лиганд. Если скорость удаления свободного лиганда будет существенно больше скорости диссоциации комплекса, то наблюдаемая скорость распада комплекса описывается реакцией первого порядка с k-\.
3. После установления равновесия в системе антитела — меченый антиген в нее вводят избыток свободного немеченного антигена. В этих условиях процесс изменения концентрации комплекса также описывается кинетикой первого порядка константа скорости которого соответствует k-i.
