Биологические часы
Как узнать, который час на внутренних часах этого крестоцветного? Методами генной инженерии в геном этого растения встроен ген люцеферазы (фермента системы генерации света) из жука-светляка (!). Такое растение начинает светиться, а интенсивность свечения управляется собственными генами – часами арабидопсиса. Теперь можно изучать тонкости циркадных ритмов различных мутантов этого растения.
Регулировка часов растений. Фитохромы
Как сказано выше, растениям часы нужны не только для подстройки к смене дня и ночи, но и для приспособления к смене сезонов. Они не только отличают весну от осени (в наших средних широтах), но гораздо более тонко приспосабливаются к определенной длительности дня. Есть растения короткого дня и длинного дня. Короткодневные растения зацветают ранней весной вскоре после весеннего равноденствия, растения длинного дня зацветают в дни, близкие к летнему солнцестоянию. Как они определяют длительность дня и ночи? Ответ на этот вопрос – одно из ярких достижений современной науки.
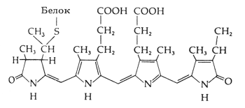
Хромофор фитохрома
На восходе и закате спектры солнечного света, доходящего до поверхности земли, как всем ясно, различны. Низко над горизонтом солнце красное, что обусловлено сильной зависимостью рассеяния света от длины волны: длинноволновый красный свет рассеивается меньше, чем синий. В закатном и сумеречном свете относительно много «дальнего красного», почти инфракрасного, света.
Это изменение спектрального состава солнечного света растения используют для определения длительности дня. Для этого им служит замечательный пигмент фитохром. Этот пигмент существует в двух формах. Одна форма Фк – «фитохром красный» – поглощает свет в «дневной» красной области в районе длин волн 660 нм и . превращается во вторую форму Фдк – «фитохром дальний красный». Эта форма фитохрома поглощает «сумеречный» красный свет с длиной волны 730 нм и при этом (что самое замечательное) снова превращается «обратно» в Фк. В темноте Фдк медленно превращается в Фк.
Фитохром: синтез и разрушение
Так получается цикл: две формы пигмента превращаются одна в другую в зависимости от времени суток и в соответствии с собственным характерным временем жизни одной из форм. Это часы, регулируемые внешними сигналами. В зависимости от концентрации Фдк находятся и физиологические процессы в растениях – их рост и зацветание.
Фитохромы присутствуют в растениях в очень малых количествах. Это голубые пигменты, похожие по строению на желчные пигменты животных или пигменты некоторых водорослей. В нормальных зеленых листьях они маскируются хлорофиллами и каротиноидами. Для выделения первых миллиграммов чистых препаратов фитохромов в 1960-е гг. пришлось переработать тонны этиолированных (бесхлорофильных) проростков кукурузы.
Таким образом, внутриклеточные часы растений имеют дополнительные фитохромные регуляторы, позволяющие им приспосабливаться к изменениям длительности светлого времени суток.
Часы в организме высших животных
Наконец, немного о биологических часах высших животных. Во всех клетках есть свои часы. Но, как уже сказано выше, многоклеточный сложный организм может нормально существовать только при условии согласованности во времени всех его функций, т.е. должны быть «центральные», «главные» часы, управляющие всеми остальными внутриклеточными часами.
Относительно недавно было показано, что эти «главные» часы расположены в головном мозге в супрахиазменном ядре таламуса. К этим часам подходят нервные волокна от зрительного нерва, с кровью приносятся различные гормоны и среди них вероятно, наиболее важный для настройки часов гормон эпифиза – мелатонин. Эпифиз, бывший когда-то «третьим глазом» у древних рептилий, сохранил свои функции регуляции циркадных ритмов.
В клетках супрахиазменного ядра таламуса циркадная периодичность сохраняется и в опытах, когда эти структуры изолированы из организма. Это позволило выяснить многие особенности действия этих главных часов.
С помощью волокон зрительного нерва и гормона мелатонина эти часы регулируются сменой светлого и темного времени суток, а среди сигналов, действующих на эти клетки, оказалась NO – окись азота.
То, что NO – участник важных биохимических процессов, открыл около 30 лет назад А.Ф. Ванин (в Институте химической физики АН СССР). Сейчас пути образования в клетке этого, как казалось ранее, вполне чужеродного вещества, изучают во множестве лабораторий в разных странах. Становится понятным смысл употребления препаратов нитроглицерина при стенокардии, выясняется механизм расширения коронарных сосудов сердца. Обнаружена роль этого вещества в самых разных процессах. И вот в механизмах временной организации сложного организма NO также играет ключевую роль.
Суточная периодичность может быть очень сложной
Проблема биологических часов не ограничивается чисто научными задачами. Очевидно принципиальное значение этих вопросов для медицины. Изменение физиологического состояния организма на протяжении суток – изменение работоспособности, умственной активности, проявлений иммунитета – всё это необходимо учитывать в повседневной жизни. Одни и те же лекарства могут давать совершенно различные эффекты при приеме в разное время суток, при разных фазах биологических ритмов.
Помимо околосуточных, циркадных, периодов наши организмы подчинены многодневным – околонедельным, околомесячным, годичным и еще более длительным ритмам. Этим вопросам посвящена обширная литература, но они еще далеки от полного выяснения. В последнее время большой интерес вызывают исследования и концепции доктора медицинских наук Л.Я. Глыбина, директора Кардиологического центра Владивостока.
Л.Я. Глыбин полагает, что в сутках есть несколько периодов повышенного и пониженного физиологического состояния организма. Пониженная сопротивляемость болезням, пониженная работоспособность приходится на время 2–3, 9–10, 14–15, 18–19, 22–23 ч местного времени. Высокая работоспособность и сопротивляемость болезням характерна для времени суток 5–6, 11–13, 16–17, 20–21 и 24–1 ч. Соответственно этим периодам, Л.Я. Глыбин полагает желательным начинать день в 5–6 ч утра и ложиться спать до 22 ч, соответственно перестроив всю общественную жизнь, отменив работу в ночные смены, вечерние сеансы кино и театральные спектакли. По его мнению, «совы» отличаются от «жаворонков» только тем, что они используют период 24–1 ч и пропускают чрезвычайно продуктивный период 5–6 ч. Так ли это? Потребуется много усилий, чтобы найти ответы на такие вопросы.
Мы многое узнали в эти недавние годы расцвета исследований природы биологических часов. Еще больше предстоит узнать. Это очень увлекательно. И особое чувство вызывает то, что в каждом новом достижении так или иначе проявляются труды, мысли и жизненные судьбы многих поколений исследователей. Я не мог по краткости времени и места даже упомянуть большинство имен и могу лишь отослать любознательных к книгам и статьям, опубликованным по этой проблеме.
