Изоморфизм уравнений диссипативных свойств растворов электролитов
Из выражения (1) видно, что молярная электропроводность раствора зависит от значений диэлектрической проницаемости , энергии межмолекулярных взаимодействий растворителя в жидкой фазе Н, приведенной массы сольватированных ионов электролита s, степени диссоциации , потенциальной энергии ионов в растворах G, определяемых следующими соотношениями:
, (4)
, (5)
, (6)
, (7)
(8)
где F – число Фарадея; е – заряд электрона; СV=5R/2 – теплоемкость; k – постоянная Больцмана; Т – температура, К;
,
- массы сольватированных ионов, г; М – молекулярная масса растворителя, г; ns – сольватное число иона;
- эффективный радиус молекулы растворителя, см; ri и zi – радиус (см) и заряд иона; rs и rd – радиус сольватированного иона и дебаевский радиус экранирования; р – дипольный момент молекулы растворителя, ед.СГС; КД – константа диссоциации электролита;
- постоянная Планка; NA – число Авогадро; - приведенная масса молекулы электролита, г; сi – молярная концентрация ионов (сi= c0); с0 – исходная молярная концентрация электролита.
3. Изоморфизм уравнений
При рассмотрении движения в поле вязких сил удобно ввести понятие подвижности b. Подвижность определяется как предельная скорость, приобретаемая телом под действием силы, равной единице, т. е.
Таким образом, абсолютная подвижность в системе CGS равна скорости в сантиметрах в секунду, приобретаемой под действием силы в 1 дин. При рассмотрении движения ионов в качестве единицы силы обычно пользуются равным единице градиентом потенциала, действующим на ионный заряд.
Эквивалентная ионная электропроводность , связана простым соотношением с подвижностью. Из определения удельной электропроводности следует, что представляет собой ток, текущий через проводник с равным единице поперечным сечением под действием градиента потенциала, равного единице. Полный ионный заряд в единице объема равен Fc, если с измеряется в эквивалентах на единицу объема. Этот заряд, движущийся со скоростью b’, вызывает ток :
(9)
или
(10)
Следовательно, для абсолютной подвижности имеем
(11)
Для макроскопической частицы, движущейся в идеальной гидродинамической среде, можно вычислить сопротивление трения. Оно выражается через размеры частицы и вязкость среды. Для сферической частицы Стоксом [8] выведена формула
(12)
где r - радиус сферы. Если ион движется по закону Стокса, его радиус определяется соотношением
(13)
Если b выражено через предельную эквивалентную электропроводность согласно уравнению (11), то получаем
(14)
Выразив r в
, а и в обычных единицах, придем к соотношению
(14а)
Движение малых ионов не подчиняется закону Стокса, так как не выполняются необходимые предпосылки. Подвижность связана с коэффициентом диффузии D соотношением
(15)
где k—постоянная Больцмана. Это ведет к так называемой формуле Эйнштейна — Стокса:
(16)
Формула Эйнштейна — Стокса справедлива при тех же предположениях, что и уравнение (14).
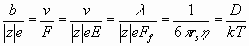
Связав рассмотренные выше уравнения, через подвижность при условии ее неизменности, получим
(17)
Сугубо качественно, для произвольного электролита КА в диэлектрической среде имеет место:
(18)
Причем, k1 и k2 – константы скоростей,
и
- сольватированые катион и анион. Очевидно, что при смещении равновесия (18) влево плотность зарядов (равно как и плотность числа частиц) падает, вязкость уменьшается, диффузия увеличивается, электропроводность растет. При смещении равновесия вправо имеет место обратные эффекты. Другими словами, динамика равновесия (18) характеризуется столкновительными инвариантами кинетической теории газов, определяемыми относительными скоростями V смещения ионов в (18) и напряженности внешнего поля E, см. уравнения (2, 3).
Выражение (2) представляется несколькими вариантами
(19)
(20)
Представление скорости (19) отвечает направленному движению зарядов при наличии внешнего поля. Это соответствует явлениям вязкости и электропроводности.
Если же внешнее поле отсутствует (Е = 0), следует уравнение (20) соответствующее диффузии.
Таким образом, для двух возможных значений скоростей по выражениям (19), (20) из уравнения b=V/eE следует:
(21)
(22)
Из взаимосвязи (17) выражая коэффициент диффузии и вязкость, через электропроводность, можно теоретически определить эти неточно экспериментально определяемые характеристики раствора.
Взаимосвязь диффузии с электропроводностью была проведена Нернстом и Хартли:
. (23)
Где
- средний молярный коэффициент активности.
Предельное значение D при бесконечном разбавлении, когда
, определяется формулой
(24)
было получено Нернстом.
Проверка проводилась, используя эквивалентную электропроводность хлоридов LiCl, NaCl, KCl.
В уравнениях (17) неизвестной величиной является rs – приведенный радиус молекулы АВ, который можно найти, используя уравнение
