Изоморфизм уравнений диссипативных свойств растворов электролитов
(25)
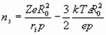
теоретически радиусы иона и сольватированного иона можно оценить по формулам [1-6]:
, (26) где
, (27) где
(28)
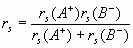
rs – радиус сольватированного иона,
ns – число молекул растворителя окружающих ион,
ri – радиус иона,
Zэ – экранированный заряд ядра,
Z – заряд иона,
I – энергия ионизации,
R0 – радиус молекулы растворителя,
р – дипольный момент молекулы растворителя,
- диэлектрическая проницаемость среды,
Мs – молекулярная масса растворителя.
Zэ – экранированный заряд ядра находится используя константы экранирования Слейтера определяемые по стандартным правилам приводимым в различных учебниках по теоретической основе неорганической химии, в частности [9].
Таблица 1
Радиусы ионов, сольватные числа и радиусы сольватированных ионов рассчитанные по уравнениям 26 – 28
|
Ион |
I, эв |
Zэ |
|
ns |
|
|
Li+ |
75,62 |
2,7 |
0,5446 |
7,3873 |
4,4246 |
|
Na+ |
47,29 |
6,55 |
1,0004 |
3,2301 |
3,3583 |
|
K+ |
31,81 |
7,75 |
1,3785 |
1,8682 |
2,7980 |
|
Cl- |
3,82 |
4,875 |
1,8100 |
1,0090 |
2,2786 |
Таблица 2
Приведенные радиусы молекул рассчитанные по формуле 25
|
Молекула |
|
|
LiCl |
1,5040 |
|
NaCl |
1,3575 |
|
KCl |
1,2559 |
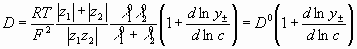
Выражая из уравнения (17) вязкость и коэффициент диффузии через электропроводность (Т = 298К), получим отдельно для каждого i-го иона:
(29)
(30)
Переходя к вязкости и диффузии, как свойствам раствора, необходимо учитывать взаимную корреляцию движения ионов противоположного знака, поэтому вязкости и коэффициенты диффузии отдельных ионов одной молекулы, объединяем в приведенное значение.
Например, для 1-1 электролита
(31)
(32)
Соответственно при бесконечном разбавлении
(33)
(34)
Неренст и Хартли для определения коэффициента диффузии одного единственного электролита предложили уравнение (23)
(35)
где D0 – предельное значение коэффициента диффузии по Нернсту (33)
Сравнивая теоретические уравнения электропроводности (1) и диффузии по Неренсту – Хартли (35), учтя в последнем максвеловское распределение по скоростям и параметр экранирования, можно показать, что
(36, 37)
Электропроводности экспериментально найденные, и рассчитанные по уравнениям (36, 37), приведены в таб. 4.3 – 4.5.
Из полученных данных можно сделать вывод, что электропроводность найденная по уравнению (36) хорошо согласуется с экспериментально найденной в случаях хлоридов натрия и калия, хуже для хлорида лития, но электропроводность рассчитанная по уравнению (37) для хлорида лития практически совпадает с данными полученными по уравнению (36), в остальных случаях уравнение (37) дает небольшое расхождение с опытом.
Роль среднего значения кинетической энергии ионов в уравнении (1), которая, согласно теореме вариала, равна по модулю среднему значению полной энергии, играет функция
, причем
- есть максвелловское распределение по скоростям.
В уравнении (35) выражение
равно
, а это есть –полная энергия молекулы при данной концентрации.
Роль распределения для коэффициента диффузии играет функция
, которую, если учесть при средне молярном коэффициенте активности, можно представить в виде
.
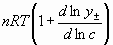
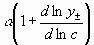
Применив поправку
, окончательно получим
(38)
С другой стороны, учитывая уравнение (37) получим:
(39)
Здесь - электропроводность экспериментальная, либо рассчитанная по уравнениям (36, 37). Нернст и Хартли получили уравнение (39) без учета вероятностного распределения, поэтому должно быть
или
(40)
Используя уравнение Стокса – Эйнштейна (16)
выразим вязкость, через коэффициент диффузии найденный по уравнению (38) получим
(41)
или по (40)
(41а)
Так же вязкость можно определить через подвижность найденную по уравнению (21)
(42)
Используя значения эквивалентных электропроводностей (рис. 4.1), данные таблицы 2, уравнений 30, 35, 38, 40 и уравнений 29, 41, 41а, 42, где вместо i также табличное значение электропроводностей, были подсчитаны значения вязкости и коэффициента диффузии выбранных солей см. таб. 4 – 12.
