Как в клетке возникает разность потенциалов
где m — масса растворенного вещества, i — масса моля, Л — газовая постоянная, Т — температура, V — объем. За теорию растворов Вант-Гофф через 15 лет получит Нобелевскую премию по химии. Вот какой важный вклад в науку внес Де Фриз, поговорив с Вант-Гоффом.
Теория Вант-Гоффа прекрасно выполнялась для растворов многих веществ, например для сахарозы, для водного раствора С02. Но для некоторых веществ осмотическое давление оказывалось больше расчетного, и не на какие-нибудь 10—15%, а вдвое! Погрешность составляла 100%. Вряд ли такую погрешность можно объяснить неточностью измерений.
Обдумывание возможных причин этого расхождения привело к важнейшему открытию. Единомышленник Вант-Гоффа шведский ученый С. Аррениус догадался, что если, например, для поваренной соли давление оказывается вдвое больше расчетного, то значит, в растворе вдвое больше частиц, чем молекул NaCl, т. е. молекула NaCl в воде распадается на две частицы: Na и Cl. Из сопоставления этого факта с другими Аррениуе пришел к идее электролитической диссоциации, к идее, что частицы, на которые распадаются многие вещества, и есть те самые ионы — носители электрических зарядов, с помощью которых еще Фарадей объяснял законы электролиза.
До Аррениуса считалось, что ионы возникают под действием электрического тока, но их участие в явлении осмоса показало, что это не так: ионы предсуществуют в растворе! Уже в самом растворе без действия тока имеются и движутся заряженные атомы и молекулы.
Так изучение осмоса привело к открытию двух главных «виновников» возникновения «животного электричества» — клеточных мембран и ионов; но об их роли пока еще никто не догадывался.
Горячо! Совсем горячо!
В 1887 г. вышли статьи Вант-Гоффа и Аррениуса в первом номере «Журнала физической химии», основанного В. Оствальдом. Все вокруг говорили о новом подходе к химии, о доказательстве существования ионов.
А в Берлине в этом году окончил университет 23-летний В. Нернст. Он станет знаменитым физиком и химиком, откроет третье начало термодинамики, получит Нобелевскую премию по химии и сменит М. Планка на посту директора Института физики в Берлине. А пока он скромный ассистент Оствальда, хотя и не новичок в науке. Работая как экспериментатор, он уже успел открыть новое явление: возникновение электрического поля в телах, в которых создан градиент температуры, если их поместить в магнитное поле. Теперь он занялся диссертацией и взялся за теоретическую работу о гальванических элементах. Конечно, до него такой теорией занимались великие умы: У. Томсон, Гиббс, Гельмгольц. Но ведь тогда не знали о ионах! Нернст решил рассмотреть связь э.д.с. гальванических элементов с диффузией ионов.
В 1889 г. его диссертация была готова и опубликована. В ней, в частности, была развита идея Вольта о том, что электрические явления могут возникать при соприкосновении двух разных жидкостей.
Что такое Нернстовский потенциал
Пусть в какой-то части сосуда находится электролит, а в другой — чистый растворитель. Как будет идти диффузия соли? Положительно и отрицательно заряженные ионы имеют разную массу, по-разному взаимодействуют с водой, следовательно, движутся в жидкости с разными скоростями. Пусть отрицательные ионы хлора движутся быстрее и при диффузии «убегают» вперед от катионов — возникает «расслаивание» отрицательных и положительных ионов. Это расслаивание вызывает появление в растворе электрического поля, которое будет тормозить убежавшие вперед анионы и подгонять отставшие катионы, выравнивая скорости их диффузии.
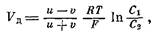
Естественно, Нернст в своей диссертации не ограничился таким качественным описанием, а как настоящий физик вывел формулу для диффузионного потенциала Уд, возникающего на границе контакта двух растворов с концентрациями электролита С1 и С2:
где и — скорость более быстрого иона, и — скорость более медленного иона, F — газовая постоянная, Р — число Фарадея, Т — температура.
Эта формула давала возможность подвергнуть прямой количественной проверке гипотезу Германа, согласно которой биопотенциалы возникают на границе двух участков протоплазмы — нормального и поврежденного, и через семь лет такую проверку предпримет замечательный русский ученый Василий Юрьевич Чаговец. Это будет первая работа по применению точных количественных методов к исследованию биопотенциалов.
Когда была опубликована диссертация Нернста, Чаговец еще учился в киевской гимназии. В 1892 г. он поступил в Петербургскую военно-медицинскую академию. Лабораторией физиологии там руководил И. Р. Тарханов — ученик Сеченова. Тарханов предложил студенту третьего курса Чаговцу заняться изучением электрических явлений в нерве лягушки, точно так же, как за 50 лет до того И. Мюллер предложил сходную тему студенту третьего курса Дюбуа-Реймону.
Чаговец, конечно, предпочитал гипотезу Германа фантастическим электромоторным молекулам Дюбуа. Но и гипотеза Германа была слишком абстрактной. Она говорила о каких-то реакциях в протоплазме, о каких-то молекулах, границах . И Чаговец развивает конкретный вариант теории повреждения, впервые объясняя возникновение биопотенциалов диффузией ионов.
Но какое же конкретное вещество создает потенциал повреждения?
Как видно из формулы, желательно, чтобы анионы и катионы вещества имели разную подвижность, а также, чтобы его концентрация в месте разреза сильно отличалась от концентрации в неповрежденном участке. Чаговец решил, что это вещество — угольная кислота. Он рассуждал так: разрез, как всякое раздражение, усиливает обмен веществ, а значит и выделение С02. На основании данных, полученных еще Л. Германом, Чаговец принял, что концентрация угольной кислоты в месте разреза увеличивается в 6,5 раз. Разность скоростей ионов Н+ и СОз_ давала для первого сомножителя формулы значение 0,8. Чаговец произвел расчет потенциала повреждения мышцы при комнатной температуре, получилось примерно 35 мВ. На самом деле потенциал повреждения мышцы составлял 50—60 мВ. Разница была не слишком велика, но все же вполне ощутима.
Работа Чаговца под названием «О применении теории диссоциации Аррениуса к электрическим явлениям на живых тканях» вышла в 1896 г., а на следующий год ее краткое изложение было опубликовано в «Журнале физической химии» Оствальда. В своей работе Чаговец пытался объяснить расхождение результатов расчета с экспериментом тем, что концентрация угольной кислоты при разрезе может быть выше, чем при утомлении мышцы. Но это предположение было опровергнуто прямыми экспериментами: например, нейтрализация угольной кислоты щелочью практически не меняет потенциала повреждения.
Чаговец остановил свое внимание на угольной кислоте не только потому, что знал о возникновении разности ее концентрации при работе мышцы, а еще и потому, что при ее диссоциации возникает ион водорода — самый быстрый из всех ионов. Скорости наиболее распространенных ионов примерно одинаковы, так что первый сомножитель в формуле для них вместо 0,8 будет 0,01—0,2, и в результате получатся значения разности потенциалов,, еще более далекие от реальных. Придумывать же какие-то фантастические ионы было совсем не в духе Чаговца. На первый взгляд, идея диффузии ионов как основы биопотенциалов зашла в тупик. Однако, хотя конкретный вариант теории биопотенциалов, предложенный Чаговцем, оказался ошибочным, основная идея Чаговца оказалась совершенно верной; Чаговец был очень близок к решению загадки.
