Как в клетке возникает разность потенциалов
Загадка решена
Еще в 1890 г. Вильгельм Оствальд, который продолжал заниматься полупроницаемыми искусственными пленками, предположил, что полупроницаемость может вызывать не только осмос, но и электрические явления. Осмос возникает тогда, когда пленка пропускает маленькие молекулы воды1 но не пропускает большие молекулы сахара. Но ведь и ионы могут иметь разные размеры! Тогда мембрана будет пропускать ионы только одного знака, например, положительные. Оствальд прямо показал, что на искусственных мембранах могут возникать заметно большие разности потенциалов, чем при свободной диффузии ионов на границе растворов с разной концентрацией. И не требуется быстрый ион водорода: годится любой ион, который умеет проходить через мембрану и имеет разные концентрации по разные ее стороны.
Действительно, если посмотреть на формулу и предположить, что мембрана для анионов непроницаема, т. е. V = 0, то можно видеть, что должны получаться большие значения для диффузионного потенциала:
Таким образом, Оствальд объединил формулу Нернста и знания о полупроницаемых мембранах. Он предположил, что свойствами такой мембраны объясняются потенциалы мышц и нервов и удивительное действие электрических органов рыб.
Эта идея Оствальда, как ни странно, прошла мимо биологов, хотя члены самой передовой тогда школы физиологов — школы Дюбуа-Реймона — были заняты спором как раз о той проблеме, путь к решению которой дал Оствальд. А может быть, именно спор помешал воспринять эту идею: Герман1 как автор гипотезы повреждения, не думал о мембране, а Бернштейн, возглавивший сторонников гипотезы предсуществования, не думал о ионах. К тому же и Герман,; и Бернштейн были уже не молоды: и тому и другому перевалило за 50,; возраст9 когда нелегко воспринимать новые идеи.
И все же для Бернштейна это оказалось возможным. Он оценил идею Оствальда, и, может быть, немалую роль в этом сыграло то, что в самом главном мембранная гипотеза была очень в духе школы Дюбуа, никакой таинственной «жизненной силы», никаких сложных неизвестных свойств клетки или протоплазмы! все, что она требует,— это мембраны и электролиты. Решающий шаг, который пришлось сделать Бернштейну, состоял в том, чтобы объяснить электрические свойства мышц и нервов не устройством этих органов в целом, а свойствами клеток, из которых состоят все ткани я органы. Наконец-то был прямо указан «виновник», создающий «животное электричество»,— клеточная мембрана, а «оружие» — перенос ионов. Таким образом, в гипотезе Бернштейна объединяются электрохимия и клеточная теория.
Ю. Бернштейн считается основателем, так называемой мембранной теории биопотенциалов. Его первая статья по мембранной теории вышла в 1902 г. Начинался новый век в электробиологии.
Мембранная теория
Давайте же посмотрим, сначала чисто качественно, как объясняется этой теорией возникновение биопотенциалов.
Что было важно для Бернштейна в строении органов и клеток? Мышца или нерв состоят из клеток, окруженных межклеточной жидкостью. Каждая клетка представляет собой мешочек или пузырек, покрытый оболочкой и содержащий жидкость другого состава.
Оболочка клетки — это и есть мембрана. Она отделяет клетки не друг от друга, а внутреннюю среду клетки от внешней межклеточной среды.
Пусть теперь внутри клетки имеется много свободных ионов какого-то элемента, например калия, а снаружи таких ионов нет или их гораздо меньше. Пусть клеточная мембрана пропускает только ионы К+ и не пропускает никаких других ионов. Тогда ионы К+ начнут выходить из клетки, где их много, наружу. Вместе с ними будет выноситься наружу их положительный заряд. Внутрь через мембрану будет проходить мало ионов, так как снаружи мало калия. В результате на клеточной мембране будет возникать разность потенциалов: снаружи клетки — «плюс», а внутри — «минус». Эта разность потенциалов будет тормозить движение новых положительных заряженных ионов калия наружу, и увеличивать поток этих ионов внутрь. Когда потоки ионов наружу и внутрь сравняются, установится динамическое равновесие и на мембране будет поддерживаться постоянная разность потенциалов. Это и есть потенциал покоя. Его величина описывается формулой Нернста.
Чтобы вывести эту формулу, воспользуемся тем, что согласно теории растворов Вант-Гоффа переход ионов из раствора с большей концентрацией С2 в раствор с меньшей концентрацией Сх представляет собой как бы расширение «ионного газа»: если в растворе с концентрацией С2 некоторое количество ионов занимает объем V2, то в растворе с концентрацией Сг они займут объем Vlt причем C1V1= СгУг. При этом меняется внутренняя анергия ионного газа, которая и переходит в потенциальную энергию зарядов, равную qE, где q — заряд, а Е — возникшая разность потенциалов.
Так как изменение внутренней энергии газа определяется только его начальным и конечным состояниями и не зависит от того, каким способом произошел переход из одного состояния в другое, попробуем найти изменение энергии в самом простом случае — когда при расширении газа совершается механическая работа.
Пусть у нас есть цилиндр с газом, закрытый поршнем, и пусть газ, расширяясь, движет поршень, совершая работу, равную произведению силы на путь: А = FI. Сила равна произведению давления газа на площадь поршня, т. е. А = PSI. Но произведение площади на перемещение есть изменение объема газа. Следовательно, изменение энергии газа при расширении определяется формулой AW=PаV.
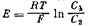
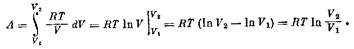
Если бы давление Р при расширении, т. е. при изменении объема, не менялось, то работа была бы равна произведению Р, т. е. площади прямоугольника ABCD. Но из уравнения газового состояния RT = PV следует, что с увеличением объема давление падает по закону Р = ЯТ/У. Значит, при постоянной температуре Т работа расширения одного моля газа от Уг до У2 равна площади криволинейной трапеции под гиперболой и может быть вычислена по формуле
А так как концентрация газа обратно пропорциональна объему, то У2 = сУС2 и А = ИТ 1п.
Итак, если при расширении ионного газа его концентрация изменилась от Сг до С2, то внутренняя энергия этого газа меняется
Работа расширения газа при постоянном давлении Рх равна площади прямоугольника с вершинами I, II, III, IV, т. е А=Р1{У2—У1). Работа при переменном давлении Р = ВТ'IV равна площади криволинейной трапеции. т. е.
на величину А И7 = ЯТ на каждый моль. Но, с другой стороны, каждый моль одновалентного иона переносит заряд, равный — числу Фарадея. Отсюда и получаем, что ВТ 1п = ЕР и окончательно
. Таким образом, мы получили формулу Нернста, и вы теперь понимаете, откуда в этой формуле появилась газовая постоянная.
Нам очень хотелось, чтобы, взглянув на формулу Нернста, вы не просто поняли ее смысл, но и увидели, какой труд за ней стоит. Это труд ботаников, измеривших осмотическое давление; физиков, выяснивших законы электричества, пополнивших науку понятиями заряда и разности потенциалов, открывших законы электролиза и газовые законы; химиков, создавших теорию растворов и электролитической диссоциации; математиков, труды которых позволили Ньютону и Лейбницу создать дифференциальное и интегральное исчисление. О некоторых из этих работ мы вам кратко рассказали, а о многих не можем рассказать, так как они лежат далеко в стороне от нашей основной темы. Но на этом примере нам хотелось показать, как в одной формуле собрались воедино труды и идеи тысяч ученых разных времен и стран.
