Липиды центральной нервной системы и структура клеточных мембран
Глобоидно-клеточная лейкодистрофия сопровождается дефектом фермента fi-галактозидазы. Избыток цереброзидов накапливается в многоядерных глобоидных клетках, обычное отношение цереброзидов к сульфатидам 4:1 трансформируется в 10:1. Наблюдается резкое изменение белого вещества, недостаточность миелина и олигодендроглии.
Болезнь Рефсума характеризуется недостаточностью а-гидро-ксилазы фитановой кислоты. Накапливающаяся фитановая кислота эстерифицирует лецитин миелина и составляет 5–8% от всех жирных кислот миелина.
Общей чертой вышеприведенных заболеваний является искажение структуры миелина, уменьшение отношения липидов к белку, снижение количества холестерина, плазмалогенов, га-лактолипидов, увеличение количества воды и постепенная замена миелина астроцитами, макрофагами и межклеточной жидкостью.
Важным путем в изучении процесса демиелинизации является исследование мутантов с нарушенным или ограниченным образованием миелина.
Jumpy-мутанты – это аугосомальное рецессивное заболевание мышей, характеризующееся почти полным отсутствием миелина.
Quaking-мугаюы – рецессивное заболевание мышей, сцепленное с полом, характеризующееся некомпактностью миелина и нарушением дифференциация олигодендроглии. У этого вида мышей резко уменьшен уровень основных липидов миелина, особенно трифосфоинозитидов, изменен жирнокислотный состав.
8. ЛИПИДЫ ВНЕШНЕЙ ЗОНЫ МЕМБРАН МОЗГА
В последние десятилетия для выяснения природы возбудимости мембран нейрона обратили внимание на экстраклеточную зону. Эта зона, так называемый гликокаликс или экстраклеточный матрикс, занимающий слой толщиной от 10 до 50 нм, влияет на многие макромолекулярные процессы: ионный обмен, проницаемость, эндо- и экзоцитоз, межклеточные контакты, морфогенетическую и тканеспецифическую агрегацию клеток.
Поверхностный матрикс содержит внешние компоненты рецепторов гормонов, медиаторов, ростовых факторов, нейро-пептидов, антигенов и других факторов. Экстраклеточный матрикс – комплексная, динамичная интегративная система, в которой изменение взаимодействия отдельных компонентов приводит к глубоким изменениям матрикса в целом.
Специфичность экстраклеточного матрикса определяется:
1) первичной структурой олигосахаридной части гликопро-теинов, гликолипидов, гликозаминогликанов;
2) их конформацией и положением на плоскости мембраны;
3) «удельной» площадью, занимаемой гликопротеинами и гликолипидами.
Состав, структура и динамизм поверхностных гликозилиро-ванных молекул влияют на функции деления, роста, дифференциацию и гибель клетки. Особая роль принадлежит при этом гликолипидам и в особенности кислым гликолипидам – ганг-лиозидам.-
Ганглиозиды – специфические липиды экстраклеточного матрикса мембран мозга
Кислые гликолипиды – ганглиозиды находятся в нервной ткани в высоких концентрациях и обогащают поверхность наиболее возбудимых мембран.
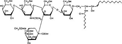
Термин ганглиозиды – общее название гликосфинголипи-дов, содержащих сиаловую кислоту, был впервые предложен Е. Кленком в 1941 г. Они содержат гидрофобную церамидную часть и гидрофильную, богатую заряженными группами олигосахаридную часть. Ниже приводится структура моносиалоганглиозида головного мозга:
Гидрофобная часть ганглиозидов включает две длинные углеводородные цепочки – сфингозин и жирную кислоту, которая связана с аминогруппой сфингозина пептидной связью. Обращает на себя внимание почти полное отсутствие в ганглиозидах мозга гидроксикислот, кетокислот и разветвленных жирных кислот. Состав сфингозиновых оснований ганглиозидов головного мозга не отличается большим разнообразием. Структура и недавно принятая номенклатура сфингозиновых оснований ганглиозидов представлены в табл. 8.
Содержание ганглиозидов в тканях человека
|
Ткани |
Концентрация* |
|
Серое вещество мозга |
2850–3530 |
|
Белое вещество мозга |
900–1570 |
|
Серое вещество спинного мозга |
751 |
|
Белое вещество спинного мозга |
450 |
|
Сетчатка |
366 |
|
Седалищный нерв |
259 |
|
Надпочечники |
407–757 |
|
Печень |
2J4 |
|
Мышцы |
52 |
|
Плазма |
п, з |
|
Спинномозговая жидкость |
0,841 |
* Концентрация выражена в н-молях липидосвязанной сиаловой кислоты – характерного компонента ганглиозидов – на 1 г свежей ткани
Структура и номенклатура сфингозиновых оснований ганглиозидов
|
Тривиальное название |
Структура |
Новое название |
|
Сфингозин |
СНэ-12-СН=СН-СН-СН-СНгОН ОН NH2 |
4-Сфингенин |
|
Дигидросфингозин |
СН3-12-СН2-СНа-СН-СН-СН2ОН ОН NH2 |
Сфинганин |
|
См-Сфингозин |
СНэ-14-СН=СН-СН-СН-СН2ОН ОН NH2 |
4-Эйкозасфинге-нин |
|
С^-Дигидросфин – гозин |
СН,-14-СНг-СН2-СН-СН-СН2ОН ОН NH2 |
Эйкозасфинганин |
Таким образом, гидрофобная часть ганглиозидов мозга млекопитающих достаточно консервативна по длине, числу и месту двойных связей, присутствию метальных групп. Й хотя ганглиозиды из различных источников отличаются по составу церамидной части, но эти различия никогда не рассматриваются как характерная особенность для классификации ганглиозидов.
Разветвленная олигосахаридная часть присоединена $-связью к ОН-группе первого атома углерода сфингозина. Большинство ганглиозидов мозга имеют общую нейтральную углеводную часть, содержащую глюкозу, две молекулы галактозы, ацетилированный галактозамин и различное число молекул сиаловой кислоты, прикрепленных либо к интернальной, либо к терминальной галактозе.
